Vzhledem k tomu, že přestupem do vyšších
tříd pojistných nastávají značné
změny v rozdělení zatížení
ústavu, jednak důsledkem zvýšení
nároků a jednak důsledkem zvýšení
příspěvků, bylo nutno za účelem
přesnějšího vystižení finančních
důsledků změn v ustanoveních o dávkách,
podobně jako již v dělnickém pojištění,
respektovati pravděpodobné budoucí stoupání
služného pojištěnců. Za podklad
těchto výpočtů bylo použito tabulky
průměrného služného pojištěnců
jednotlivých věkových skupin, získané
ze sčítací akce Všeobecného pensijního
ústavu k 31. prosinci 1925. (Tabulka č. 15.) Ježto
tabulky o vývoji služného během služební
doby není dosud možno konstruovati, nutno se spokojiti
jako dosud předpokladem, že služné x-letého
zaměstnance přechází postupně
ve služné zaměstnance staršího,
tak jak to vyjadřuje tabulka č. 15. Pomocná
základní čísla byla pak vypočítána
podle rovnic

kdež o faktorech SX je možno s vystižným
přiblížením předpokládati,
že postupují v jednoduché arithmetické
řadě u mužů od S20 = 1 do
S32 = 3.4 s differencí 0.20 a pak setrvávají
od S33 = 35 na stejné výši, kdežto
u žen od S20 = 1 do S27 = 24 s differencí
0.20 a pak setrvávají od s28=25 na stejné
výši. Pro zhodnocení pojistného vyměřovaného
ze stoupajícího služného použito
stejného postupu:

Okolnost, že služné ve vyšších
ročnících opět klesá, nebylo
možno respektovati, kdežto naproti tomu skutečné
stoupání průměrného služného
jde poněkud nad uvedená maxima.
Při propočtech prostředků k úhradě
dávek stanovených novou úpravou pensijního
pojištění, jak je má poskytovati hlavní
nositel pojištění, totiž Všeobecný
pensijní ústav, bylo nutno vzíti v úvahu
vedle nového nárokového schematu, daného
ustanoveními §§ 17-38, také ustanovení
přechodná, týkající se započtení,
respektive zvýšení nároků dosud
získaných. Vedle toho bylo nutno respektovati také
tu okolnost, že vedle běžných příspěvků
možno k úhradě dávek použíti
finančních prostředků Všeobecného
pensijního ústavu, nashromážděných
až do doby novelisace, a mimo to zisků, plynoucích
z úrokového výnosu prvních let, který
bude, jak již v části všeobecné
bylo uvedeno, přechodně vyšší,
než je úroková míra, která je
podkladem výpočtů pro celou budoucnost. Vzhledem
k těmto okolnostem, které se vyskytnou vždy
při úpravě pojištění,
delší dobu trvajícího, nebylo nutno
za podklad konstrukce tarifu pojistného užívati
průměrné premie pro jednotlivé třídy
pojistné, nýbrž ukázalo se vhodnějším
stanoviti jednotný průměr poměrem
k vyměřovacímu základu dávek
postupem zcela analogickým, jakým byl proveden dále
uvedený odhad finanční situace Všeobecného
pensijního ústavu. Tímto postupem zjištěno,
že pojistné je nutno stanoviti okrouhle na 10 až
11% vyměřovacího základu. Tarif pojistného
byl pak konstruován s ohledem na to, že jednotná
základní částka důchodů
znamená procentuelní zvýšení
důchodů v nižších třídách
oproti třídám vyšším. Jak
již bylo v části všeobecné naznačeno,
bylo při propočtech finančních důsledků
nové úpravy pro Všeobecný pensijní
ústav použito metod a zásad, na kterých
spočívá systém úhrady invalidního
a starobního pojištění dělnictva
podle zákona č. 221/24. Pokud jde o zatížení,
plynoucí ze získaných nároků
pojištěnců Všeobecného pensijního
ústavu, nutno upozorniti, že výslednou tabulku
č. 54 jest považovati za výsledek odhadů,
a, to hlavně z toho důvodu, že nebylo možno
plně zachytiti dosavadní stav pensijního
pojištění v důsledku toho, že není
dosud provedena do všech důsledků likvidace
Všeobecného pensijního ústavu pro zřízence
ve Vídni a že také není dosud plně
odevzdán příslušný materiál,
z něhož by bylo možno zjistiti přesně
nároky pojištěnců Všeobecného
pensijního ústavu, plynoucí z pojištění
před rokem 1919. Při odhadu zatížení
však byly plně respektovány nároky všech
pojištěnců, pokud byl jejich dosavadní
průběh pojištění znám.
Pro ocenění hodnoty pojistného byla provedena
83/4%ní srážka z pojistného,
stanoveného návrhem. Z této částky
je určeno 61/2% předpisu pojistného
na správní náklady, 11/2%
na úhradu léčebné péče
(§§ 49-55) a 1/2% na úhradu
podpor v nezaměstnanosti (§ 56). Ježto však
přirážka na všechny tyto složky obnáší
8.75%, zbývá 1/4,% pojistného,
kteréhož obnosu jest možno použíti
k tvoření bezpečnostního fondu po
případě k intensivnější
dotaci léčebné péče a podpor
v nezaměstnanosti. že tyto kvoty k naznačeným
účelům plně dostačují,
je zřejmo z tabulek č. 3 a 26, získaných
z účetních výkazů Všeobecného
pensijního ústavu. Tabulka č. 54 jest výsledkem
podrobných propočtů hodnoty zatížení,
plynoucího z nové úpravy, a jeho úhrady
a prokazuje, že na základě těchto pojistně
matematických výpočtů lze předpokládati,
že hlavní nositel pojištění může
spolehlivě počítati s plnou úhradou
všech svých závazků v budoucnosti.
Statistické podklady ke zjištění důsledků
navrhovaného pojišťovacího systému
pro finanční rovnováhu Všeobecného
pensijního ústavu získány byly hlavně
ze statistiky pojištěnců Všeobecného
pensijního ústavu z r. 1925. Podrobná data,
týkající se rozdělení podle
stáří, podle tříd, dosavadního
průběhu pojištění, jakož
i celkového počtu pojištěnců,
jednak nynější generace a jednak budoucí
generace a dále pojištěnců vystouplýnh
a pojištěnců v budoucnosti vystupujících,
obsažena jsou v souboru statistických tabulek. čísla
směrodatná pro pojistně-matematický
odhad finančních důsledků novely uvedena
jsou v tabulkách č. 51 a 52.
Pojistně-matematické hodnocení nároků
aktivních pojištěnců. Hodnota
Kč 100- nároků získaných, resp.
nároků, které budou při ukončení
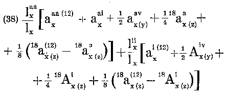
čekací doby, vypočtena byla podle vzorců:
kde k jest doba, které jest třeba k dokončení
5tileté čekací doby.
Hodnocení Kč 1- budoucích zvyšovacích částek dáno jest vzorci:

Důchodci. Z podrobné statistiky důchodců
Všeobecného pensijního ústavu dle stavu
z konce r. 1925 byla sestavena tabulka č. 53, která
obsahuje jak rozdělení podle stáří,
tak obnosy k 31. XII. 1925 vyplácených důchodů.
U invalidů a starobních důchodců a
u vdov pak jest tabulka doplněna též údaji
o obnosech důchodů, které by těmto
důchodcům podle jejich průběhu pojištění
v celku příslušely za platnosti připravované
novely.
Zhodnocení těchto likvidních důchodů
bylo provedeno podle vzorců:
hodnota starobního důchodu u mužů (i
s vychovávacími příplatky):
hodnota starobního důchodu u žen (i s vychovávacími příplatky):
hodnota invalidního důchodu u mužů (i s vychovávacími příplatky):
hodnota invalidního důchodu u žen (i s vychovávacími příplatky):
hodnota vdovského důchodu:
hodnota sirotčího důchodu:
Ježto odhad finanční rovnováhy z důvodů,
které byly opětovně uvedeny, jest proveden
k 31. XII.1925, jest nutna doplňující úvaha
o opatření prostředků pro úhradu'vyššího
zatížení, jež vzniká z okolnosti,
že od tohoto dne až do dne vstupu zákona v účinnost
uplyne delší doba, nejméně 3 let. Vyšší
zatížení resultuje zde ze skutečnosti,
že příspěvková doba se v mezidobí
zvýšila a to u valné části pojištěnců
po případě i o 3 roky, a že, ačkoli
za t. zv. staropojištěnce bylo odváděno
nižší pojistné dnešního zákona,
přechodná ustanovení zvyšují
přes to nároky získané za tuto dobu
oproti předpokladům dnešního zákona
(v úvahu přichází v prvé řadě
ustanovení § 177, odst. 1.). Oproti této ztrátové
položce stojí několik položek ziskových,
v prvé řadě zisk mající původ
v tom, že nositel pojištění mohl vlastně
podle odhadu provedeného k 31. XII. 1925 vypláceti
od 1. I. 1926 vyšší dávky podle návrhu.
Ve skutečnosti vyplácel na účet jmění
pouze daleko nižší důchody podle dnešního
zákona, kdežto drahotní přídavky
je doplňující jsou hrazeny přirážkou
k pojistnému na účet zaměstnavatelův.
Další pramen uhrazující zmíněnou
ztrátu jest zisk vyplývající z odkladu
nároků na podstatně zvýšené
základní částky všech důchodů
o 3 roky. Z menších pramenů ziskových
budiž uveden zisk na úrocích oproti předpokládanému
výnosu úrokovému pro prvá 3 léta.
Podrobným propočítáním se zjistilo,
že všechny tyto složky se celkem vzájemně
vyrovnávají.
Je v povaze věci, že se do zákonů sociálně-pojišťovacích
musí pojmouti řada ustanovení, pro něž
nemá pojistný matematik statistického materiálu,
a jejichž finanční důsledky nemůže
tedy oceniti ani při nejbedlivější snaze
vystihnouti do všech podrobnosti náklad a úhradu
celého pojistného systému: Ustanovení,
která není možno respektovati, mají
však zpravidla zcela nepatrný effekt, při čemž
zatížení plynoucí z jedněch ustanovení
vyvažuje se obyčejně finančními
úlevami plynoucími z ustanovení jiných.
V předloženém návrhu vede na př.
k vyššímu třeba nepatrnému zatížení
zkrácení čekací doby, nastane-li pojistný
případ v důsledku úrazu podnikového
(§ 16, odst. 2.), dále ustanovení o minimech
důchodů (§ 25, odst. 4. a § 32), zvýšení
důchodu 0 50% v případě bezmocnosti
(§§ 23 a 28), prodloužení požitku sirotčího
důchodu přes 18. rok věku podle ustanovení
§ 33, odst. 2., důchody rodičů (§
34) a důchod vdovecký. Naproti tomu nebylo možno
respektovati některá ustanovení, která
vedou k finančním úlevám: Je to v
prvé řadě odklad nároku na invalidní
důchod až po vyčerpání nemocenské
podpory, jejíž požitek bude asi prodloužen
na dva roky. účinek tohoto ustanovení (§
17, odst. 2. a § 44, odst. 1.) je finančně
tak dalekosáhlý, že lze s plným oprávněním
na základě přibližných odhadů
(nutných, ježto nejsou po ruce podrobná data
statistická), předpokládati, že již
toto ustanovení sama nejen vyváží veškerá
dříve uvedená zatížení
z jiných, liberálních ustanovení zákona,
nýbrž uhradí i z největší
části náklady nemocenského ošetření
důchodců, které vzhledem k způsobu
úhrady rozvrhem na soubor všech pojištěnců
nelze krýti pevnou přirážkou k pojistnému.
Z jiných ustanovení přinášejících
finanční úlevy jest dále uvésti
ustanovení § 18, po případě §
26, č. 4, § 42, č. 1 a jiných, týkající
se odepření důchodu v případech
spadajících do oboru trestního práva,
omezení důchodu invalidního nebo starobního
i se zvýšením podle §§ 22 a 23 na
maximum služebních požitků započitatelných
za posledních 60 měsíců (§ 24,
odst. 1), omezení nároku na vdovský důchod
podle § 26, č. 1, 3 a 5, ustanovení §
32, odst. 2. o nejvyšší hranici úhrnu
vdovského důchodu a důchodů sirotčích,
ustanovení § 35, odst. 3., že výbavné
jest při opětovném sňatku vyměřiti
pouze zvyšovacími částkami, na něž
získala pojištěnka nárok od předešlého
sňatku a posléze četná administrativně
důležitá ale finančně technicky
bezvýznamná ustanovení § 42, č.
2 a § 43, jakož i ustanovení § 44, odst.
3. a 4. o konkurenci důchodů s jinými požitky.
Počet osob, které získají příspěvkovou
dobu na základě § 13 návrhu odhadnut
dvojím postupem na okrouhle 4.000 ročně.
Při prvém výpočtu zjištěno
číslo 3.600 na podkladě poměru počtu
pojištěnců Všeobecného pensijního
ústavu (mužů) a všech mužských
obyvatelů republiky a to ve věkové skupině
20 až 24 letých v době sčítací
akce z roku 1925. Poměr tento je 2.997%. Druhým
postupem dojde se k cifře 3.500 až 4.000, jestliže
počet pojištěnců Všeobecného
pensijního ústavu ve věkové skupině
20 až 25 násobíme poměrem počtu
branců k počtu všech mužů ve stáří
20 až 25. Tento poměr je 0.17 až 0.20. Počet
všech pojištěnců Všeobecného
pensijního ústavu mužů ve věkové
skupině 20 až 25 k 31. XII. 1925 je 20.299.
Při počtu 4.000 osob, za něž je každoročně
platiti pojistné třídy 1 (Kč 144.-),
činí tedy zatížení státu
okrouhle 575.000 Kč ročně.
Zatížení státu jako zaměstnavatele
projevuje se dvojím směrem a to jednak vydáním
úhradových podílů při přestupech
státních zaměstnanců (vyňatých
z pojistné povinnosti podle § 2, č. 4) do jiné
služby (§ 114), jednak placením zvýšeného
pojistného za státní zaměstnance,
kterých se ustanovení § 2, č. 4 netýká
a kteří j sou proto pojištěni u Všeobecného
pensijního ústavu; toto druhé zatížení
jest pro jednotlivé zaměstnance dáno výší
pojistného podle § 63. Pokud jde o převody,
lze míti za to, že i za účinnosti návrhu
převodní částky státem vydané
a převodní částky, jež nutno
převésti na stát při přestupech
z jiné služby do státní, se vzájemně
vyrovnají, jak tomu bylo při vzájemném
převádění premiových reserv
podle dosavadního zákona. Podle § 124, odst.
13. přispěje stát k započítání
novinářské služby dokončené
přede dnem vstupu navrženého zákona
v účinnost, jednou pro vždy částkou
5,000.000 Kč, splatnou buď najednou anebo v ročních
splátkách. Do rozpočtu na rok 1929 bude k
tomu účelu zařazena částka
11/2 milionu. Tohoto státního
příspěvku jest především
použíti ve prospěch nejstarších
novinářů s nejdelší novinářskou
službou. Vliv státní správy při
použití tohoto příspěvku jest
návrhem dodatečně zabezpečen.
K dalšímu zatížení státu
dojde též v důsledku nové úpravy
pojišťovacího soudnictví; konečně
může přicházeti v úvahu též
zatížení ze změněných
předpisů o dozoru a o řízení;
částky, o které tu jde, budou však celkem
nepatrný; předběžné odhady o
jejich výši jsou vyloučeny.
Statistický základ pro početní podklady
zvláštního pensijního pojištění
novinářů byl získán dvojí
dotazníkovou akcí provedenou jednak v roce 1925
ministerstvem sociální péče a jednak
v roce 1926 Všeobecným pensijním ústavem.
První statistika, která byla podkladem původních
předběžných výpočtů
konaných ještě na podkladě dosavadního
pensijního zákona, týkala se 624 členů
čtyř organisací novinářských:
Syndikát denního tisku, Reichsgenossenschaft der
d. Presse, Jednota českých novinářů,
Spolek českých žurnalistů.
Ze statistiky této byly získány informace
jak o rozdělení pojištěnců podle
stáři a služební doby a o jejich platebních
poměrech, tak také o poměrech rodinných
a sociálních. V tabulkách č. 55 a
56 j sou uvedeny výsledky této statistiky pro 542
novinářů o služební době
a o platových poměrech, ježto přihlášky
ostatních (zejména státních zaměstnanců)
nebylo možno spolu s hlavní částí
přihlášek zpracovati. Tabulky č. 57
a 58 podávají výsledky o zpracování
celého materiálu vzhledem k rodinnému stavu
a sociálnímu postavení. Z tab. č.
57 jest, zřejmo také porovnáním s
měrnými čísly, která jsou podkladem
pojistně-matematických základních
čísel, že tato měrná čísla
v celku vykazují u novinářů dosti
značné odchylky ve směru snižujícím
náklady pojištění, jichž bude lze
použíti pravděpodobně při definitivním
propočtu úhrady, na kterou pamatuje odst. 9. §
124.
Druhá sčítací akce byla provedena
Všeobecným pensijním ústavem prostřednictvím
Syndikátu denního tisku a Reichsgewerkschaft der
deutschen Presse k 1. červenci 1926. Byla provedena podrobnými
dotazníky o osobních a rodinných poměrech,
o služebních požitcích (i v detailech),
o způsobu dosavadního pojištění
a o podrobnostech trvání novinářské
činnosti. Celkem došlo 793 dotazníků
z nichž nebylo zpracováno 27 dotazníků
osob, které podle označení zmíněných
odborových organisací nejsou novináři.
Tabulky č. 59 až 62 resumují výsledky
této statistiky jen, pokud jde o poměry platové
a o rozdělení podle stáří a
doby novinářské činnosti.
O propočtech, které byly podkladem úpravy
dávkového schematu zvláštního
pensijního pojištění novinářů
a stanovení pojistného, je uvésti toto:
Nárokové schema novinářského
pojištění jest upraveno tak, že invalidní
důchod činí po čekací době
5tileté 28% posledních služebních požitků
a roste ročně o 24% služebních požitků.
Služební požitky započítávají
se při tom plně až do maxima 42.000Kč.
Starobní důchod přísluší
bezpodmínečně po dokončení
420ti příspěvkových měsíců
novinářského pojištění
a nejpozději dokončením 60. roku věku,
získali pojištěnec aspoň 60 příspěvkových
měsíců. novinářského
pojištění. Pro podmínky a výměru
ostatních dávek poměrem k invalidnímu
důchodu jsou směrodatnými příslušná
ustanovení pro zákonité pojištění.
V tabulce č. 63 jsou podrobně uvedeny individuelní
příklady důchodů novinářského
pojištění ve srovnání s důchody,
které by týmž pojištěncům
příslušely v případě,
že by byli pojištěni pouze na dávky zákonité.
Při výpočtu pojistného bylo šetřeno
zásady, že pojistné má se vyměřovati
jednotným procentem započtených služebních
požitků a že v tomto pojistném má
býti zahrnuta také úhrada zvýšení
závazků ústavu vznikajícího
zvyšováním služného jako podkladu
výměry dávek. Vzhledem k tomu byly provedeny
výpočty ryzího pojistného a zjištěno
na př., že pojistné pro muže činí
pro 100 Kč základu pro vyměření
důchodu ve vstupním stáři 20 let č
148, ve stáří 25 let Kč J.41 a ve
stáří 30 let Kč 165. Tyto částky
se zvýší, respektujeme-li stupání
služného, z něhož je vyměřován
důchod a pojistné. Z tabulky č. 61 je však
zřejmo, že toto stoupání služného
není relativně tak intensivní jako u celku
pojištěnců pensijních, neboť již
v prvních letech novinářské činnosti
přesahují služební požitky novinářů
v průměru Kč 20.000'-, což daleko přesahuje
služební požitky soukromých zaměstnanců
krátce po vstupu do zaměstnání. Vzhledem
k tomu, že vstupní stáří dnešního
kmene novinářů jest podle tabulky č.
62 průměrně 27 let pro pojištění
novinářů, kterýžto věk
ovšem v budoucnosti ještě klesne, a vzhledem
k tomu, že u těchto osob nastává vzrůst
služného asi na dvojnásobek počátečního
služného (jenž také odpovídá
maxima započitatelných služebních požitků)
bylo podrobnými výpočty zjištěno,
že průměrné pojistné za pojištění
novinářů, kdyby bylo prováděno
samostatně, bez souvislosti s povinným pojištěním
všech soukromých zaměstnanců, by vyžadovalo
částky 17-17.5% základu pro vyměřování
důchodu. Redukce této cifry nastává
však, uvážíme-li, že hrubé
pojistné za zákonité dávky dané
tarifem §63 návrhu novely je vypočteno na podkladě
přesunutí části břemene na
budoucí generace. V oboru novinářského
pojištění jest nutno ovšem při
výpočtu části,:o kterou převyšují
dávky novinářského pojištění
dávky zákonité, respektovati přesně
stáři vstupu do novinářské
činnosti. Stačí tedy hrubé pojistné
zákonitého pojištění zvýšiti
o rozdíl mezi průměrným ryzím
pojistným za zákonité dávky a za dávky
pojištění novinářského.
Výsledek výpočtů, pro něž
použito týchž základních čísel
jako pro pojištění zákonité jest
tento: Ryzí roční pojistné činí
při vstupním stáří 27 let 12.6%
středního služného připadajícího
na novináře. Průměrné pojistné
odpovídající úhradové metodě
zákona činí 89%, takže 37% v pojistném
je hrazeno přesunutím části břemene
na budoucí generaci. Odečteme-li od zmíněného
ryzího pojistného za dávky pojištění
novinářů (17-17.5%) ryzí pojistné
za dávky zákonité pro vstupní stáří
novinářů (12.6%), shledáme, že
je nutno průměrné ryzí pojistné
zvýšiti na 133-138%. Lze tedy s bezpečností
tvrditi, že proponovaným pojistným ve výši
15% započitatelných požitků je úhrady
dávek pojištění novinářů
i správních nákladů plně dosazeno.
Takto určené pojistné je ovšem prozatímní
toho důvodu, že statistický materiál,
který byl podkladem tohoto výpočtu byl opatřen
dobrovolnou sčítací akcí a že
nebylo možno jej přezkoušeti z hlediska spolehlivosti
a úplnosti. Odstavce 1., 2., 10. a 33. § 124 umožní
při vstupu zákona v účinnost opatřiti
přesná data, z nichž bude lze vypočísti
definitivně pojistné. Ježto výpočet
jest proveden opatrně, lze očekávati, že
definitivní výsledek nepovede ke zvýšení
nákladů, i když tyto úvahy vycházely
z předpokladu plného krytí novinářské
služby.
Pojistným stanoveným prozatím pro prvý
rok je ovšem provedena úhrada nároků,
kterých získají z titulu novinářského
pojištění tito pojištěnci teprve
ode dne účinnosti novely pensijního zákona.
Odborové organisace novinářů dožadují
se pro své zvláštní pensijní
pojištění také přispění
státu. Tento státní příspěvek
je v odst. 13. stanoven částkou jednou pro vždy
5 milionů Kč.

