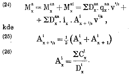
Základní čísla pro důchod
aktivitní, t. j. čísla pro zhodnocení
starobního důchodu a zhodnocení pojistného,
vypočítána byla přímo ze zmíněných
měrných čísel pomočí
rekurrentní formule

K výpočtu čísel pro nárok na
důchod invalidní použito bylo přesnější
formule

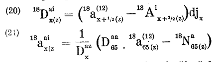
Použitá měrná čísla úmrtnosti
invalidů nedávají možnosti respektovati
velmi důležitou okolnost, že úmrtnost
invalidů v prvních letech po nápadu invalidního
důchodu jest podstatně vyšší, než
v pozdějších letech. Nerespektováním
této okolnosti přeceňuje se značně
hodnota invalidního důchodu. Za oprávněného
předpokladu, že poměrné snížení
této hodnoty při respektování selekce
v úmrtnosti invalidů je v různých
souborech invalidního pojištění stejné,
byly selekční hodnoty invalidního důchodu
ai[x]
napočteny z agregátních hodnot
aixpomocí rovnic

při čemž faktor kx
byl vypočítán podle téhož vztahu
mezi selekčními a agregátními hodnotami
invalidního důchodu v pojištění
dělnickém z materiálu říšskoněmeckého
použitého za početní podklad pro zákon
čís. 221/24. Hodnoty aix
samy pak napočteny byl podle rekurrentní formule

Postup výpočtu základních čísel
pro nárok na vdovský důchod dávají
tyto vzorce


Vzorec (13) vyjadřuje rekurrentní vztah pro hodnotu
důchodu vdovy s respektováním odbytného
ve výši trojnásobného ročního
důchodu v případě znovuprovdání.
Vzorec (12) znázorňuje seřazení hodnot
avyx
podle průměrného stáří
manželky y ke každému stáří
manžela x, čísla ŽX ve vzorci
(9) jsou koeficienty ženatostí získané
grafickou interpolací z hodnot tabulky č. 36. Při
tam jest podotknouti, že tyto koeficienty se vlivem ustanovení
§ 26, čís. 2. snižují podle vzorce

Horní hranice stáří, uvedená
v tomto paragrafu, jest zvýšena oproti dosavadnímu
stavu z 50ti let na 60 let. Selekce v úmrtnosti invalidů
nemá znatelného vlivu na čísla
aivx(y)
a nebyla tedy respektována.
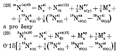
Základní čísla pro nárok na
sirotčí důchod byla vypočítána
podle vzorců

Čísla KX Z a LX, která
značí počet z-letých dětí
x-letých pojištěnců a počet těchto
pojištěnců, jsou obsažena v tabulce č.
39.
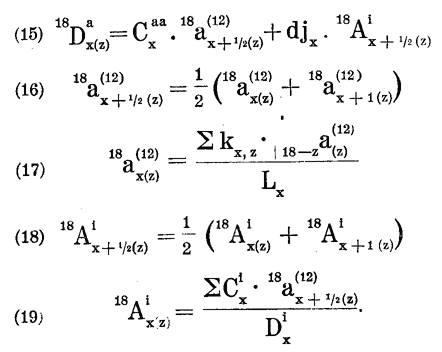
Čísla 18a(12)x(z)vypočtena takto pro 5tileté
věkové skupiny a pak graficky interpolována.
Hodnoty
vypočteny pomocí dekrementní tabulky
kde čísla 1x znamenají dekrem2ntní
tabulku pro muže a ly pro ženy. Také
zde nebyl vliv selekce na čísla
18aix(z)
respektován z téhož důvodu jako u základních
čísel pro vdovský důchod.
z předešlých
výpočtů použito bylo pro výpočet
základních čísel pro nárok
na vychovávací příplatky
podle vzorců:
Hodnota nároků na vychovávací příspěvky
i příplatky byla vypočtena za předpokladu,
že se příslušné důchody
vyplácejí až do 18. roku věku dítěte.
Hodnot nároků na vychovávací příspěvky
a příplatky, vypočtených na základě
tabulky č. 39, možno užíti v plné
hodnotě pro pojištěnce muže, kdežto
pro pojištěné ženy nutno násobiti
čísla
atd. číslem 0.15. Toto číslo odvozeno
ze statistiky rodinného stavu pojištěnců
Všeobecného pensijního ústavu z roku
1920, z níž plyne, že na 100 pojištěných
žen připadly pouze 4 děti, kdežto na 100
pojištěných mužů 96 dětí.
Ačkoli by tento poměr počtu dětí
opravňoval k použití nižšího
redukčního faktoru, byl volen opatrně faktor
015 z toho důvodu, že je nutno respektovati tu okolnost,
že stále více vdaných žen a vdov
jest v zaměstnání. Pro hodnoty nároků
na výbavné, které napadá aktivním
pojištěnkám, provdají-li se (bez ohledu,
vystoupí-li pak zaměstnání, byla vypočtena
základní čísla:
kde čísla hpx jsou pravděpodobnosti pro provdání pojištěnky,
získané interpolací z příslušných
hodnot v tabulce č. 40.
Pro hodnotu nároku na pohřebné vypočtena
čísla
Pro hodnotu nároků na odbytné užito
čísel Maax
z toho důvodu, že dosud užívané
hodnoty
nevyhovují vzhledem k četnosti výplat odbytného
též jiným příslušníkům
rodiny než vdově.
Základní čísla, jichž výpočet
byl právě popsán, jakož i nejdůležitější
pomocné hodnoty jsou obsaženy v tabulkách č.
43 až 50. Podkladem jejich je úroková míra
41/2%.
V navrhovaném dávkovém schematu jsou tyto
podmínky pro výměru a nápad jednotlivých
dávek:
Čekací doba jest pro důchod invalidní
(i starobní) a vychovávací příplatky,
pro důchod vdovský a sirotčí, pro
výbavné a pohřebné 60 příspěvkových
měsíců.
Starobní důchod mužům napadá
bezpodmínečně v 65. roce. Ustanovení,
podle něhož důchodu bez průkazu invalidisace
dosáhne také pojištěnec mladší
65ti let, avšak aspoň 60tiletý, anebo získavší
480 příspěvkových měsíců,
opustí-li pojistně-povinné zaměstnání,
jest spolehlivě vystiženo použitými měrnými
čísly invalidisace. V tomto směru budiž
poukázáno na odůvodnění novely
z r. 1914, ženám napadá starobní důchod
v 60. roce věku, a opustí-li pojistně povinné
zaměstnání, též po dosažení
55. roku věku.
Vdovský důchod činí polovinu
důchodu, jehož požíval zemřelý
manžel, anebo na nějž měl nárok;
odbytné v případě znovuprovdání
vdovy činí trojnásobnou roční
častku jejího vdovského důchodu.
Sirotčí důchod činí
1/4, důchodu otcova (neb. matčina).
Požitek sirotčího důchodu končí
dokonaným 18. rokem věku. Ustanovení o požitku
sirotčího důchodu po dobu studií nebo
zdravotní indisposice až do 24. roku věku nebylo
možno respektovati pro nedostatek statistického materiálu
a nebylo též nutno pro pravděpodobně
malý účinek finanční.
Vychovávací příplatky k důchodu
invalidnímu a starobnímu činí za každé
dítě, které by mělo nárok na
sirotčí důchod v případě
úmrtí důchodcova, jednu osminu důchodu
otcova (neb matčina).
Výbavné vyplácí se aktivním
pojištěnkám, které se provdaly, bez
ohledu na to, opustí-li pak pojistně povinné
zaměstnání čili nic, a činí
jednu roční částku invalidního
důchodu, na který by měla pojištěnka
v té době nárok. Nápadem této
dávky zůstávají nároky na ostatní
pojistné dávky nedotčeny.
Pohřebné činí 1/5
příslušného invalidního důchodu.
Odbytné, které se vyplácí v
případě úmrtí v čekací
době, činí pra vdovu nebo děti 150%
invalidního důchodu; není-li jich, pro ostatní
pozůstalé 75%.
Pro zjednodušení výpočtů používáno
bylo jednotných základních čísel
pro nároky vázané čekací dobou,
zastoupené v nárokovém schematu v poměru
právě naznačeném a to pro muže


