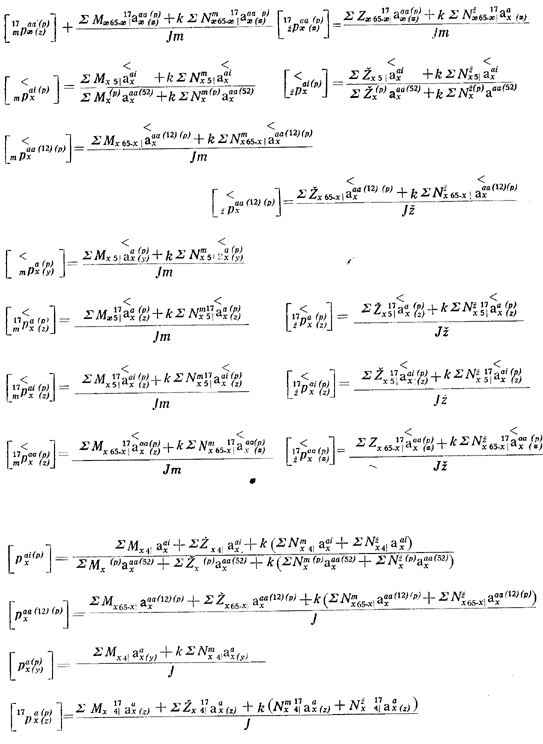
VIII. Výpočet průměrného pojistného.
Základní čísla a hodnoty odvozené v oddílu V. až VI. dovoluji nyní zodpověděti všecky otázky, týkající se průměrného pojistného invalidního a starobního pojišťování podle této osnovy.
Výpočty byly provedeny odděleně pro počáteční a budoucně do pojištění vstupující generace a pro smíšený soubor počáteční generace se všemi budoucně přistupujícími; dále odděleně pro muže a ženy a pro smíšený soubor obou pohlaví; konečně provedeny všechny výpočty zvláště pro případ, že pojištěnec nastoupí starobní důchod až po vystoupení ze zaměstnání povinně pojištěného.
Postup, jímž byly jednotlivé výsledky odvoleny, jest patrný ze vzorců, z nichž buďtež odvozeny na př. tyto:
1. Hodnota nároků na neomezený invalidní důchod "1" pro počáteční generaci, pro muže, je dána vzorcem
E Mx aaix
Pro výpočet hodnoty nároků na invalidní důchod (pro muže) generací, budoucně do pojištění vstupujících platí výraz
(v1/2 c1/2 + v3/2 c3/2 + v5/2 c5/2 + ...) E Nmxaaix = k E Nmxaaix
kde k = 34,16301. Hodnota nároku na invalidní důchod pro muže pro počáteční i všecky budoucně do pojištění vstupující generace počítá se podle vzorce
E Mx aaix + k E Nmxaaix
2. Hodnota neomezeného aktivitního důchodu "1" pro muže počáteční generace je dána výrazem
E Mxaaa(52)x
Hodnota aktivitního důchodu pro muže generací budoucně do pojištění vstupujících počítána
Podle obdobného vzorce počítáno bylo ryzí pojistné pro ženy žPx a pro smíšený sou bor mužů i žen Px. Výpočty provedeny dále bez ohledu na stoupání mzdy v ročnících stáří 15 - 25 a pak s respektováním stoupání mzdy v těchto ročnících stáří při použití dříve definovaných čísel s15+i. V souhlase s tím označována jest ve vzorcích pro hodnoty nároků a pro pojistné závislost na změně mzdy znakem (s).
Aby došla vyjádření skutečnost, že nevede každá změna mzdy k vyšším nárokům a tím také k vyššímu zatížení, nýbrž pouze ty změny mzdy, jež znamenají také změnu třídy, byly výsledky takto docílené sloučeny a to podle vzorců:
|
ve třídě A |
IIA = 0,6 P(s)A + 0,4 PA |
|
ve třídě B |
IIB = 0,4 P(s)B + 0,6 PB |
|
ve třídě C |
IIC = 0,2 P(s)C + 0,8 PC |
|
a ve třídě D |
IID = PD |
Tím jest vystižena skutečnost, že na př. ve třídě D nevedou změny mzdy vůbec ke změně třídy.
Jednotlivé složky pro výpočet hodnot pojistného jsou patrny ze vzorců uvedených na tab. XLIII, počítaných pro počáteční i budoucně do pojištění vstupující generace. Tabulka XLIV a XLV podává rozklad průměrného pojistného, počítaného podle uvedených vzorců pro všecky složky nárokové pro obě pohlaví.
Tabulka XLVI podává roční ryzí pojistné propočítané pro jednotlivé složky nároků pro počáteční i budoucně do pojištění vstupující generace pro obě pohlaví a to v jednotlivých třídách.
Z tabulky této jest zřejmo, že při předpokladu, že by pojištěnec získal ročně 50 příspěvkových týdnů, zbývá na správní náklady, léčebnou péči a dotaci bezpečnostního fondu ve třídě A 9,01%, ve třídě B 16,01%, ve třídě C 20,66% a ve třídě D 24,72%. Ježto však, jak již dříve bylo uvedeno, lze počítati průměrně v třídě A pouze s 42 příspěvkovými týdny, v třídě B se 44, v třídě C se 46 a v třídě D se 48 příspěvkovými týdny do roka, jeví se za tohoto předpokladu, jak jest patrno z tabulky IL, pojistné potřebné k úhradě všech dávek nárokových pro muže i pro ženy v třídě A 176,96 Kč, v třídě B 220,91 Kč, v třídě C 267,09 Kč a v třídě D 327,41 Kč.
Jež to ve skutečnosti za předpokladu 42, 44, 46 resp. 48 příspěvkových týdnů ročně jest osnovou předepsané roční pojistné těchto tříd Kč 184,80, Kč 255,20, Kč 331,20 a Kč 432,-, lze počítati s přirážkou v třídě A 4,24%, v tř. B 13,44%, v třídě C 19,36%, a v třídě D 24,21% z celkového pojistného na správní náklady, léčebnou péči a dotaci bezpečnostního fondu.
Vezmeme-li ohled na složení pojištěnců podle tříd (41,10% v třídě A, 19,36% v třídě B, 11,34% v třídě C a 28,10% v třídě D), vyplývá jako celková přirážka průměrně 13,35% pojistného. Z této přirážky lze, jak uvedeno již ve všeobecné části, krýti správní náklady ve výši 8%, léčebnou péči ve výši 3% celkového pojistného, takže zbývá pro dotaci bezpečnostního fondu 2,35%, částka úplně dostačující vzhledem k tomu, že jedná se o pojištění sociální. Z těchto výsledků jest patrno, že nárokový systém i pojistné vyměřeny jsou pro veškerý soubor pojištěnců podle principu ekvivalence. Při tom jest zvláštním úspěchem zvoleného systému finančního i nárokového, že pojistné stačí také v jednotlivých třídách k úhradě nároků, což je důležito pro případný a za dnešních poměrů možný pokles mezd. Dále jest patrno, že tak jako budoucí generace nesou z části náklady na pojištění generace počáteční, přispívají též pojištěnci vyšších tříd k úhradě správních nákladů tříd nižších. Jakožto závěr jest otištěna pojistně matematická rozvaha (tab. č. 73) pro počátek činnosti Ústřední sociální pojišťovny, v níž jeví se úplná rovnováha mezi aktivy a pasivy, jak jest při správném výpočtu pojistného samozřejmo.
Jednotlivé složky pro výpočet pojistného jsou podrobně uvedeny v přílohách.
IX. Přestupy pojištěnců.
Již ve všeobecné části důvodové zprávy bylo upozorněno na důležitost, kterou mají §§ 239 - 243,upravující přestupy pojištěnců ze zaměstnání pojištěním povinného podle tohoto zákona, anebo do zaměstnání pojištěním povinného.
O rozsahu těchto přestupů, které mají býti podle zmíněných paragrafů provázeny vždy převody převodních částek, svědčí tabulka č. 74, udávající rozsah změn v povolání podle tříd a postavení v povolání vyňata ze statistiky povolání odvozené ze sčítání lidu k 31. prosinci 1910 [Berufsstatistik vom 31. Dezember 191U in Oesterreich. 3. Band, 1 Heft. Wien 1916. Str. 186 až 187, tabulka XXX.]
Tabulka č. 73.
Pojistně-matematická rozvaha sociální pojišťovny.
|
V milionech Kč |
V milionech Kč |
||||
|
Aktiva |
Pasiva |
||||
|
Kapitálová hodnota hrubé prémie |
Kapitálová hodnota nároků na základní částky důchodů |
7,179,- |
|||
|
ve třídě A |
13,380,- |
||||
|
ve třídě B |
8,198,- |
Kapitálová hodnota nároků na zvyšovací částky důchodů |
|||
|
ve třídě C |
5,599,- |
||||
|
ve třídě D |
15,821,- |
42,998,- |
ve třídě A |
9,877,- |
|
|
ve třídě B |
5,626,- |
||||
|
ve třídě C |
3,631,- |
||||
|
ve třídě D |
9,973,- |
29,107,- |
|||
|
Kapitálová hodnota nákladů na léčebnou péči a správní výlohy a dotace bezpečnostního fondu |
|||||
|
ve třídě A |
629,- |
||||
|
ve třídě B |
1,150,- |
||||
|
ve třídě C |
1,103,- |
||||
|
ve třídě D |
3,830,- |
6,712,- |
|||
|
42,998,- |
42,998,- |
||||
Tabulka č. 74.
|
Třída povolání |
Postavení v zaměstnání |
Počet osob podle tříd povolání a postavení povolání koncem r. 1910 |
Z toho byli koncem roku 1907 |
||||||||||||||||
|
zaměstnaní jako |
|||||||||||||||||||
|
samostatní |
zřízenci |
dělníci, učedníci neb nádeníci |
|||||||||||||||||
|
v třídách povolání |
|||||||||||||||||||
|
A |
B |
C |
D |
dohromady |
A |
B |
C |
D |
vojsko |
dohromady |
A |
B |
C |
D |
vojsko |
dohromady |
|||
|
A |
Samostatní |
662.028 |
855 |
1.256 |
878 |
220 |
3.209 |
111 |
29 |
14 |
28 |
9 |
191 |
39 |
5.069 |
551 |
188 |
1.546 |
15.370 |
|
Zaměstnanci |
9.856 |
30 |
2 |
7 |
36 |
75 |
132 |
42 |
23 |
22 |
3 |
222 |
8.004 |
11 |
4 |
7 |
211 |
272 |
|
|
Dělníci, učed., nádeníci |
775.112 |
1.501 |
436 |
647 |
739 |
3.323 |
19 |
12 |
11 |
10 |
- |
53 |
5.633 |
8.197 |
1.075 |
246 |
4.305 |
21.827 |
|
|
Pomah. členové rodiny |
693.496 |
1.159 |
216 |
315 |
263 |
1.953 |
17 |
21 |
16 |
18 |
2 |
74 |
21.752 |
3.068 |
347 |
69 |
4.750 |
13.867 |
|
|
výd. činní dohromady |
2,140.492 |
3.545 |
1.910 |
1.847 |
1.258 |
8.560 |
279 |
105 |
64 |
78 |
14 |
540 |
529 |
16.345 |
1.977 |
450 |
10.812 |
51.336 |
|
|
B |
Samostatní |
260.906 |
326 |
486 |
611 |
183 |
1.606 |
13 |
614 |
100 |
44 |
1 |
772 |
25 |
13.386 |
255 |
65 |
1.100 |
15.335 |
|
Zaměstnanci |
40.106 |
21 |
136 |
140 |
144 |
441 |
67 |
603 |
347 |
153 |
15 |
1.185 |
18.877 |
684 |
307 |
30 |
639 |
1.685 |
|
|
Dělníci, učed., nádeníci |
1,465.502 |
927 |
2.726 |
1.680 |
1.182 |
6.515 |
12 |
129 |
78 |
42 |
2 |
263 |
272 |
93.030 |
4.891 |
687 |
17.175 |
134.660 |
|
|
Pomah. členové rodiny |
36.608 |
23 |
110 |
50 |
187 |
201 |
- |
5 |
8 |
2 |
- |
15 |
19.703 |
666 |
66 |
12 |
192 |
1.208 |
|
|
výd. činní dohromady |
1,803.122 |
1.297 |
3.458 |
2.481 |
1.527 |
8.763 |
92 |
1.351 |
533 |
241 |
18 |
2.235 |
1.426 |
107.766 |
5.619 |
794 |
19.106 |
152.888 |
|
|
C |
Samostatní |
178.059 |
808 |
1.075 |
1.465 |
415 |
3.763 |
26 |
202 |
479 |
76 |
1 |
784 |
29 |
3.809 |
2.570 |
133 |
541 |
8.479 |
|
Zaměstnanci |
35.975 |
20 |
70 |
183 |
98 |
371 |
23 |
281 |
392 |
186 |
26 |
908 |
3.388 |
355 |
540 |
43 |
552 |
1.519 |
|
|
Dělníci, učed., nádeníci |
214.460 |
239 |
456 |
630 |
216 |
1.541 |
8 |
77 |
124 |
57 |
4 |
270 |
289 |
8.455 |
6.306 |
248 |
3.830 |
22.227 |
|
|
Pomah. členové rodiny |
46.409 |
98 |
85 |
208 |
90 |
481 |
2 |
15 |
28 |
18 |
- |
63 |
5.132 |
535 |
349 |
17 |
181 |
1.371 |
|
|
výd. činní dohromady |
474.903 |
1.165 |
1.686 |
2.486 |
819 |
6.156 |
59 |
575 |
1.023 |
337 |
31 |
2.025 |
7.956 |
13.154 |
9.765 |
441 |
5.104 |
33.596 |
|
|
D (bez vojska) |
Samostatní |
583.045 |
16.439 |
2.895 |
3.258 |
4.159 |
26.751 |
297 |
375 |
722 |
2.280 |
201 |
3.875 |
50 |
17.073 |
5.578 |
1.258 |
299 |
32.164 |
|
Zaměstnanci |
87.372 |
14 |
52 |
54 |
555 |
675 |
69 |
217 |
190 |
757 |
37 |
1.270 |
967 |
237 |
88 |
181 |
493 |
1.049 |
|
|
Dělníci, učed., nádeníci |
45.236 |
125 |
235 |
127 |
104 |
591 |
10 |
31 |
26 |
37 |
1 |
105 |
14 |
2.210 |
348 |
227 |
1.147 |
4.899 |
|
|
Pomah. členové rodiny |
1.175 |
1 |
1 |
4 |
1 |
7 |
- |
- |
- |
3 |
- |
3 |
8.987 |
9 |
1 |
1 |
6 |
31 |
|
|
výd. činní dohromady |
716.831 |
16.579 |
3.183 |
3.443 |
4.819 |
28.024 |
376 |
623 |
938 |
3.077 |
239 |
5.253 |
5 |
19.529 |
6.015 |
1.667 |
1.945 |
38.143 |
|
|
Aktivní vojsko |
Zaměstnanci |
3.523 |
- |
- |
- |
76 |
76 |
- |
2 |
1 |
2 |
- |
5 |
8.910 |
16 |
3 |
5 |
- |
29 |
|
Dělníci |
43.714 |
172 |
33 |
93 |
272 |
570 |
124 |
402 |
459 |
181 |
- |
1.166 |
8.915 |
23.203 |
4.414 |
136 |
- |
36.383 |
|
|
Dohromady |
47.237 |
172 |
33 |
93 |
348 |
646 |
124 |
404 |
460 |
183 |
- |
1.171 |
64.489 |
23.219 |
4.137 |
141 |
- |
36.412 |
|
|
A - D a vojsko |
Zaměstnaní vůbec |
5,182.585 |
22.758 |
10.270 |
10.359 |
8.671 |
52.149 |
930 |
3.058 |
3.018 |
3.916 |
302 |
11.224 |
6.214 |
180.013 |
27.213 |
3.493 |
36.967 |
312 |
|
Vydržovaní přísl. rodiny |
4,216.101 |
740 |
780 |
1.152 |
654 |
3.326 |
60 |
176 |
212 |
443 |
10 |
901 |
2.860 |
10.226 |
1.173 |
169 |
433 |
18.215 |
|
|
Služebnictvo |
119,416 |
41 |
68 |
226 |
239 |
573 |
- |
2 |
6 |
21 |
- |
29 |
8.076 |
1.698 |
273 |
44 |
80 |
4.955 |
|
|
Celkem |
9,518.102 |
23.539 |
11.117 |
11.728 |
9.664 |
56.048 |
990 |
3.236 |
3.236 |
4.380 |
312 |
12.154 |
73.563 |
191.937 |
28.859 |
3.706 |
37.480 |
335.545 |
|
|
Třída povolání |
Postavení v zaměstnání |
Z toho byli koncem roku 1907 |
|||||||||||
|
zaměstnaní jako |
členové rodiny bez vlastního povolání |
změna povolání v celku |
|||||||||||
|
pomáhající příslušníci rodiny |
služebnictvo |
||||||||||||
|
v třídách povolání |
|||||||||||||
|
A |
B |
C |
D |
dohromady |
celkem |
A |
B |
C |
D |
dohromady |
|||
|
A |
Samostatní |
10.215 |
44 |
67 |
1 |
10.372 |
310 |
860 |
499 |
98 |
155 |
1.612 |
31.019 |
|
Zaměstnanci |
19 |
- |
- |
- |
19 |
- |
555 |
70 |
52 |
363 |
1.040 |
1.628 |
|
|
Dělníci, učed., nádeníci |
1.931 |
53 |
36 |
3 |
2.023 |
2.581 |
69.007 |
8.665 |
1.670 |
3.655 |
82.997 |
112.804 |
|
|
Pomah. členové rodiny |
1.613 |
63 |
179 |
1 |
1.856 |
1.800 |
82.513 |
7.204 |
1.424 |
1.100 |
92.241 |
111.791 |
|
|
výd. činní dohromady |
13.778 |
160 |
282 |
5 |
14.225 |
4.691 |
152.935 |
16.438 |
3.244 |
5.273 |
177.890 |
257.242 |
|
|
B |
Samostatní |
155 |
78 |
18 |
1 |
252 |
354 |
742 |
1.335 |
264 |
342 |
2.683 |
21.0025 |
|
Zaměstnanci |
9 |
3 |
7 |
- |
19 |
11 |
984 |
1.798 |
676 |
2.046 |
5.504 |
8.845 |
|
|
Dělníci, učed., nádeníci |
3.306 |
155 |
107 |
9 |
3.577 |
4.825 |
55.147 |
95.415 |
17.741 |
30.527 |
198.830 |
348.670 |
|
|
Pomah. členové rodiny |
135 |
17 |
28 |
3 |
183 |
233 |
356 |
2.639 |
106 |
98 |
3.199 |
5.039 |
|
|
výd. činní dohromady |
3.605 |
253 |
160 |
13 |
4.031 |
5.423 |
57.229 |
101.187 |
18.787 |
33.013 |
210.216 |
383.556 |
|
|
C |
Samostatní |
505 |
21 |
329 |
3 |
858 |
920 |
1.926 |
3.007 |
1.113 |
783 |
6.829 |
21.633 |
|
Zaměstnanci |
7 |
1 |
10 |
- |
18 |
8 |
541 |
865 |
840 |
1.577 |
3.823 |
6.647 |
|
|
Dělníci, učed., nádeníci |
473 |
11 |
38 |
4 |
526 |
732 |
4.542 |
3.538 |
3.592 |
6.118 |
17.790 |
43.086 |
|
|
Pomah. členové rodiny |
594 |
55 |
163 |
6 |
818 |
295 |
509 |
1.126 |
2.918 |
235 |
4.788 |
7.816 |
|
|
výd. činní dohromady |
1.579 |
88 |
540 |
13 |
2.220 |
1.955 |
7.518 |
8.536 |
8.463 |
8.713 |
33.230 |
79.182 |
|
|
D (bez vojska) |
Samostatní |
4.175 |
63 |
156 |
8 |
4.402 |
1.949 |
3.283 |
1.484 |
743 |
5.766 |
11.276 |
80.417 |
|
Zaměstnanci |
24 |
3 |
3 |
3 |
33 |
18 |
2.047 |
1.174 |
696 |
4.422 |
8.339 |
11.384 |
|
|
Dělníci, učed., nádeníci |
67 |
1 |
4 |
2 |
74 |
208 |
229 |
180 |
62 |
372 |
843 |
6.720 |
|
|
Pomah. členové rodiny |
3 |
- |
3 |
1 |
7 |
- |
10 |
17 |
7 |
116 |
150 |
198 |
|
|
výd. činní dohromady |
4.269 |
67 |
166 |
14 |
4.516 |
2.175 |
5.569 |
2.855 |
1.508 |
10.676 |
20.608 |
98.719 |
|
|
Aktivní vojsko |
Zaměstnanci |
- |
- |
- |
- |
- |
- |
1 |
- |
- |
74 |
75 |
185 |
|
Dělníci |
448 |
26 |
5 |
1 |
520 |
44 |
273 |
15 |
5 |
1.627 |
1.920 |
40.603 |
|
|
Dohromady |
488 |
26 |
5 |
1 |
520 |
44 |
274 |
15 |
5 |
1.701 |
1.995 |
40.788 |
|
|
A - D a vojsko |
Zaměstnaní vůbec |
23.719 |
594 |
1.153 |
46 |
25.512 |
14.288 |
223.525 |
129.031 |
32.007 |
59.376 |
443.939 |
859.487 |
|
Vydržovaní přísl. rodiny |
3.098 |
126 |
370 |
18 |
3.612 |
5.665 |
36.140 |
83.339 |
25.910 |
21.471 |
166.860 |
198.579 |
|
|
Služebnictvo |
554 |
10 |
8 |
8 |
580 |
494 |
11.718 |
192 |
114 |
7.757 |
19.781 |
26.412 |
|
|
Celkem |
27.371 |
730 |
1.531 |
72 |
29.704 |
20.447 |
271.383 |
212.562 |
58.031 |
88.604 |
630.580 |
1,084.478 |
|
Tabulka čís. 75.
|
V oblasti |
A. Zemědělství a lesnictví |
B. Průmysl a živnosti |
C. Obchod a doprava |
D. veř. služba (bez voj.). Vol. povolání, nezaměstnaní |
||||||||||||
|
Zřízenci |
Dělníci, učňové a nádeníci |
Pomáhající členové rodiny |
Neschopní výdělečné činnosti 1) |
Zřízenci |
Dělníci, učňové a nádeníci |
Pomáhající členové rodiny |
Neschopní výdělečné činnosti 1) |
Zřízenci |
Dělníci, učňové a nádeníci |
Pomáhající členové rodiny |
Neschopní výdělečné činnosti 1) |
Zřízenci |
Dělníci, učňové a nádeníci |
Pomáhající členové rodiny |
Neschopní výdělečné činnosti 1) |
|
|
Počet samostatně výdělečně činných na konci roku 1910, kteří koncem roku 1907 náleželi do téže třídy povolání |
||||||||||||||||
|
Praha a předměstí |
3 |
4 |
1 |
- |
112 |
913 |
4 |
50 |
209 |
377 |
18 |
82 |
756 |
155 |
2 |
2.657 |
|
Brno |
- |
1 |
- |
- |
25 |
197 |
- |
10 |
34 |
73 |
1 |
21 |
172 |
69 |
- |
1.294 |
|
Sudetské země bez Prahy a Brna |
111 |
8.076 |
10.215 |
860 |
614 |
13.386 |
78 |
1335 |
479 |
2570 |
329 |
1113 |
2280 |
1258 |
8 |
5.766 |
|
Rakousko celkem |
247 |
23.192 |
19.172 |
3023 |
1470 |
27.807 |
175 |
2291 |
1980 |
7676 |
675 |
2601 |
9283 |
4644 |
23 |
29.453 |
|
Počet zaměstnanců na konci roku 1910, kteří koncem roku 1907 náleželi do téže třídy povolání |
||||||||||||||||
|
Rakousko celkem |
240 |
153 |
31 |
752 |
1596 |
1716 |
4 |
3798 |
1726 |
2075 |
29 |
3933 |
2531 |
622 |
3 |
16.003 |
|
Ve věkové skupině |
Počet samostatně výdělečně činných na konci roku 1910, kteří koncem roku 1907 náleželi do téže třídy povolání podle věkových skupin |
|||||||||||||||
|
od 0 do 15 roků |
- |
17 |
53 |
665 |
- |
100 |
- |
967 |
- |
14 |
- |
1126 |
- |
15 |
- |
15940 |
|
od 16 do 20 roků |
- |
508 |
908 |
546 |
2 |
2759 |
6 |
689 |
7 |
213 |
15 |
713 |
54 |
83 |
2 |
5075 |
|
od 21 do 25 roků |
14 |
4003 |
4604 |
590 |
103 |
6228 |
26 |
111 |
196 |
1306 |
90 |
98 |
235 |
140 |
1 |
2452 |
|
od 26 do 30 roků |
59 |
7401 |
6797 |
554 |
420 |
9475 |
42 |
111 |
486 |
2349 |
161 |
119 |
393 |
216 |
5 |
1057 |
|
od 31 do 35 roků |
51 |
4933 |
3408 |
253 |
358 |
4638 |
39 |
106 |
424 |
1499 |
113 |
132 |
867 |
297 |
2 |
836 |
|
od 36 do 40 roků |
25 |
2551 |
1359 |
157 |
256 |
2204 |
20 |
75 |
333 |
886 |
79 |
119 |
! 566 |
382 |
1 |
694 |
|
od 41 do 45 roků |
33 |
1415 |
740 |
99 |
122 |
1061 |
19 |
78 |
228 |
519 |
70 |
96 |
556 |
462 |
- |
568 |
|
od 46 do 50 roků |
20 |
946 |
494 |
68 |
94 |
619 |
5 |
63 |
140 |
351 |
54 |
75 |
617 |
427 |
2 |
569 |
|
od 51 do 55 roků |
14 |
570 |
333 |
55 |
59 |
263 |
6 |
34 |
99 |
232 |
35 |
64 |
888 |
501 |
5 |
519 |
|
od 56 do 60 roků |
11 |
388 |
217 |
47 |
26 |
176 |
3 |
27 |
38 |
149 |
27 |
29 |
1656 |
639 |
1 |
517 |
|
od 61 do 65 roků |
16 |
222 |
145 |
26 |
14 |
122 |
6 |
14 |
13 |
72 |
12 |
13 |
1894 |
579 |
2 |
352 |
|
od 66 do 70 roků |
4 |
142 |
65 |
7 |
9 |
82 |
3 |
9 |
13 |
48 |
9 |
12 |
948 |
417 |
- |
381 |
|
přes 70 roků |
- |
96 |
49 |
6 |
7 |
80 |
- |
7 |
3 |
38 |
10 |
5 |
659 |
486 |
2 |
493 |
1
Při tom jest ovšem nutno podotknouti, že změnou v povolání rozumí se zde také nastoupení povolání a vystoupení z povolání.
Podobná tabulka pro Prahu udává počet změn v povolání od 31. prosince 1907 až do r. 1910 pro obě pohlaví 71.592; pro Brno jest podobné číslo 20.176.
Důležité informace podává tabulka č. 75, [Pramen jako u tabulky č. 74.] která udává sociální vzestup v téže třídě povolání. Z tabulky této jest patrno, že vzestup z vrstvy dělníků a nádeníků, jakož i z vrstvy pomáhajících členů rodiny mezi osoby samo-statně výdělečně činné jest velmi častý.
Z téže tabulky jest patrný sociální vzestup v téže třídě povolání, avšak s ohledem na stáří jest patrno, že sociální vzestup z postavení dělníka nebo zaměstnance do postavení samostatně výdělečně činného děje se hlavně v letech 26 až 30, kdežto do postavení úřednického o jeden nebo dva roky dříve.
Z těchto tabulek, jakož i z tabulky č. XXXI. rakouské statistiky povolání z r. 1910 jest patrno, že při přestupech bude jednati se ročně o velmi značný počet pojištěnců; vzhledem k tomu bude nutno upraviti oznamování přestupů a výpočet převodních částek co nejjednodušeji, ježto by jinak provádění zmíněných paragrafů mohlo vésti k zvýšení správních nákladů oproti předpokladům. Výpočet převodních částek upraven bude proto zvláštním nařízením, při čemž pravděpodobně nebude nutno přihlížeti k stáří pojištěncovu, nýbrž pouze k počtu příspěvkových týdnů a k úhrnu zaplacených příspěvků; po případě bylo by lze vzájemné zúčtováni převodních částek mezi zúčastněnými nositeli pojištění, nebo zaopatření, odložiti až do doby přiznání některé dávky. Podobně jednoduše bude záhodno upraviti započítání doby služební za převedené částky.
X. Odhad nákladů nemocenského pojištění podle osnovy.
Podle § 159 stanoví výši pojistného, jež slouží k úhradě pojistných dávek nemocenského pojištění, a jež nesmí přesahovati pravidelně 5% (v osnově odborníků 6%) střední denní mzdy, Ústřední sociální pojišťovna. Ukáže-li se toho potřeba, může Ústřední sociální pojišťovna povoliti k úhradě povinných dávek výjimečně na přechodnou dobu zvýšení pojistného pro nemocenské pojištění. Pojistné budiž stanoveno v jednotlivých mzdových třídách ve stejném poměru k střední denní mzdě.
Ježto tedy určení pojistného pro nemocenské pojišťovny má provésti Ústřední sociální pojišťovna a tó podle dat, která jí budou v době vstoupení zákona v platnost po ruce, stačí zatím vyšetřiti, jak jevila by se vydání a příjmy nemocenského pojištění podle výsledků nemocenské statistiky posledních let.
Za tím účelem byl proveden výpočet, jakých nákladů bude vyžadovati nemocenské pojištění na dávkách upravených podle osnovy s výjimkou dávky uvedené v § 95 bodě II. odst. 2., pro niž byl výpočet proveden zvlášť. Výpočet proveden za předpokladu cifry morbiditní, tj. počtu nemocenských dnů, připadajících do roka na jednoho pojištěnce, 12,62 podle zkušeností z r. 1921. Zavedení absolutní čekací doby třídenní podle § 95 bod I. 2. pro poskytování nemocenského dovoluje podle pojistně-matematického vyšetření (Statistika lipské nemocenské pokladny a tabulky Janseovy) snížení morbiditní cifry z 12,62 na 11,00. Podle úřední statistiky nemocenského pojištění Československé republiky za rok 1921, vydané ministerstvem sociální péče, lze počítati s vydáními Kč 100,- na všech druzích naturálních dávek na jednoho pojištěnce ročně. Předpokládáme-li již dříve uvedené rozdělení pojištěnců ve mzdových třídách a předpokládáme-li dále správní náklady ve výši 11,11% ryzích vydání, čili ve výši 10% všech vydání, lze čekati podle tabulky čís. 76 výdaje nemocenského pojištění na 10.000 pojištěnců ročně ve výši Kč 2,34.419,-.
Naproti tomu byly by celkové příjmy na příspěvcích při maximálním pojistném obnášejícím 5% střední denní mzdy podle téže tabulky Kč 2,995.320,-, takže by se objevil přebytek pro 10.000 pojištěnců Kč 260.901,-, jehož by bylo lze užíti k dotaci reservních fondů.
Ve výpočtu svrchu uvedeném nebyla dosud respektována nově zavedená dávka § 95 bod II. odst. 2., záležející v peněžité podpoře, rovné nemocenskému, pro manželku a družku pojištěncovu v těhotenství šest týdnů před a šest týdnů po porodu. Zatížení, plynoucí z této dávky, bylo odhadnuto s použitím dříve uvedených čísel a ženatosti pojištěnců, dále s použitím čísel o živých a mrtvých porodech z pohybu obyvatelstva v r. 1913, připadajících na vdané ženy. Použití výsledků nemocenského rodinného pojištění nebylo možno vzhledem k nedlouhému trvání tohoto pojištění a jiné konstrukci dávek.
Tabulka č. 76.
|
Třída |
Z 10.000 pojištěnců připadá na třídu |
Roční náklady na nemocenském pro jednoho pojištěnce v Kč |
Úhrn dávek na jednoho pojištěnce ročně v Kč |
Vydání na dávkách (kromě dávky § 95, II. odst. 2) celkem v Kč |
Vydání na dávce § 95, II. odst. 2 |
Vydání celkem v Kč |
Celkový příjem na příspěvcích Kč při |
||
|
pro jednotlivý případ |
celkem |
5% |
6% |
||||||
|
v Kč |
příspěvku |
||||||||
|
1 |
2 |
3 |
4 |
5 |
6 |
7 |
8 |
9 |
10 |
|
I. |
926 |
29,70 |
129,70 |
120.102,- |
226,80 |
12.514,- |
132.616,- |
55.560,- |
66.672,- |
|
II. |
714 |
55,-- |
155,-- |
110.670,- |
420,-- |
17.869,- |
128.539,- |
85.680,- |
102.816,- |
|
III. |
2480 |
88,-- |
188,-- |
466.240,- |
672,-- |
99.304,- |
565.544,- |
446.400,- |
535.680,- |
|
IV. |
1061 |
116,60 |
216,60 |
229.813,- |
890,40 |
56.291,- |
286.104,- |
254.640,- |
305.568,- |
|
V. |
875 |
146,30 |
246,30 |
215.513,- |
1117,20 |
58.247,- |
273.760,- |
262.500,- |
315.000,- |
|
VI. |
709 |
176,-- |
276,-- |
195.684,- |
1344,-- |
56.782,- |
252,466,- |
255.240,- |
306.288,- |
|
VII. |
425 |
198,-- |
298,-- |
126.650,- |
1512,-- |
38.290,- |
164.940,- |
172.125,- |
206.550,- |
|
VIII. |
391 |
220,-- |
320,-- |
125.120,- |
1680,-- |
39.138,- |
164.258,- |
175.950,- |
211.140,- |
|
IX. |
423 |
242,-- |
342,-- |
144.666,- |
1848,-- |
46.578,- |
191.244,- |
209.385,- |
251.262,- |
|
X. |
1996 |
264,-- |
364,-- |
726.544,- |
2016,-- |
239.771,- |
966.315,- |
1,077.840,- |
1,293.408,- |
|
Úhrn |
2,461.002,- |
664.784,- |
3,125.786,- |
12,995.320,- |
3,594.384,- |
||||
|
Správní náklady |
273.417,- |
73.858,- |
347.275,- |
||||||
|
Celkové vydání |
2,734.419,- |
738.642,- |
3,473.061,- |
||||||
Náklady, vznikající z poskytování této dávky, obnášely by ročně i se správními náklady asi 739.000 Kč pro 10.000 pojištěnců.
Pojistné nemocenského pojištění ve výši 6% střední denní mzdy stačilo by tedy plně k úhradě všech dávek a poskytovalo by dokonce značný přebytek. Pokud však u jednotlivých nemocenských pojišťoven nestačí pojistné, maximované v § 159 pěti procenty, bude nutno, aby Ústřední sociální pojišťovna použila práva jí vyhrazeného v § 150 a povolila zvýšení pojistného.
Tabulka I.
|
x |
Muži |
Ženy |
||||
|
l - s(20)+x-20 |
pi(x, 20) |
A (x) |
l - s(20)+x-20 |
pi(x, 20) |
A (x) |
|
|
20 |
0,4000 |
0,4690 |
||||
|
21 |
0,6500 |
0,4000 |
12,00 |
0,7790 |
0,4690 |
16,42 |
|
22 |
0,7870 |
0,2600 |
7,80 |
0,8740 |
0,3654 |
12,79 |
|
23 |
0,8535 |
0,2046 |
6,14 |
0,9130 |
0,3194 |
11,18 |
|
24 |
0,8940 |
0,1746 |
5,24 |
0,9305 |
0,2916 |
10,21 |
|
25 |
0,9200 |
0,1561 |
4,68 |
0,9440 |
0,2713 |
9,50 |
|
26 |
0,9350 |
0,1936 |
4,31 |
0,9545 |
0,2561 |
8,96 |
|
27 |
0 9460 |
0.1393 |
4,03 |
0,9618 |
0,2444 |
8,55 |
|
28 |
0,9530 |
0,1270 |
3,81 |
0,9668 |
0,2351 |
8,23 |
|
29 |
0,9586 |
0,1210 |
3,63 |
0,9705 |
0,2273 |
7,96 |
|
30 |
0,9620 |
0,1160 |
3,98 |
0,9726 |
0,2206 |
7,72 |
|
31 |
0,9632 |
0,1116 |
3,35 |
0,9732 |
0,2146 |
7,51 |
|
32 |
0,9630 |
0,1075 |
3,23 |
0,9732 |
0,2088 |
7,31 |
|
33 |
0,9627 |
0,1035 |
3,11 |
0,9731 |
0,2032 |
7,11 |
|
34 |
0,9624 |
0,0996 |
2,99 |
0,9731 |
0,1977 |
6,92 |
|
35 |
0,9621 |
0,0959 |
2,88 |
0,9731 |
0,1924 |
6,73 |
|
36 |
0,9617 |
0,0923 |
2,77 |
0,9731 |
0,1872 |
6,55 |
|
37 |
0,9613 |
0,0888 |
2,66 |
0,9730 |
0,1822 |
6,38 |
|
38 |
0,9609 |
0,0854 |
2.56 |
0,9730 |
0,1773 |
6,21 |
|
39 |
0,9605 |
0,0821 |
2,46 |
0,9730 |
0,1725 |
6,04 |
|
40 |
0,9601 |
0,0789 |
2,37 |
0,9730 |
0,1678 |
5,87 |
|
41 |
0,9597 |
0,0758 |
2,27 |
0,9730 |
0,1633 |
5,72 |
|
42 |
0,9592 |
0,0727 |
2,18 |
0,9730 |
0,1589 |
5,56 |
|
43 |
0,9586 |
0,0697 |
2,09! |
0,9730 |
0,1546 |
5,41 |
|
44 |
0,9580 |
0,0668 |
2,00 |
0,9729 |
0,1504 |
5,26 |
|
45 |
0,9573 |
0,0640 |
1,92 |
0,9728 |
0,1463 |
5,12 |
|
46 |
0,9566 |
0,0613 |
1,84 |
0,9727 |
0,1423 |
4,98 |
|
47 |
0,9559 |
0,0586 |
1,76 |
0.9725 |
0,1384 |
4,84 |
|
48 |
0,9551 |
0,0560 |
1,68 |
0,9723 |
0,1346 |
4,71 |
|
49 |
0,9543 |
0,0535 |
1,61 |
0,9720 |
0,1309 |
4,58 |
|
50 |
0.9534 |
0.0511 |
1.53 |
0,9716 |
0.1272 |
4,45 |
|
51 |
0,9525 |
0.0487 |
1,46 |
0.9711 |
0.1236 |
4,33 |
|
52 |
0.9515 |
0,0464 |
1.39 |
0,9704 |
0.1200 |
4.20 |
|
53 |
0,9505 |
0,0441 |
1.32 |
0,9696 |
0.1164 |
4.07 |
|
54 |
0,9495 |
0.0419 |
1,26 |
0,9688 |
0,1129 |
3.95 |
|
55 |
0,9483 |
0.0398 |
1,19 |
0,9680 |
0,1094 |
3.83 |
|
56 |
0,9468 |
0.0377 |
1,13 |
0,9671 |
0,1059 |
3,71 |
|
57 |
0.9450 |
0,0357 |
1,07 |
0.9662 |
0.1024 |
3,58 |
|
58 |
0.9430 |
0,0337 |
1.01 |
0,9650 |
0,0989 |
3,46 |
|
59 |
0.9410 |
0,0318 |
0,95 |
0.9638 |
0,0954 |
3,34 |
|
60 |
0.9390 |
0,0299 |
0 90 |
0,9624 |
0,0919 |
3.22 |
|
61 |
0,9370 |
0.0281 |
0,84 |
0,9608 |
0.0884 |
3,09 |
|
62 |
0,9345 |
0.0263 |
0.79 |
0,9590 |
0,0849 |
2.97 |
|
63 |
0,9320 |
0.0246 |
0,74 |
0.9570 |
0,0814 |
2.85 |
|
64 |
0,9290 |
0,0229 |
0,69 |
0,9550 |
0.0779 |
2,73 |
|
65 |
0,9255 |
0,0213 |
0.64 |
0,9525 |
0,0744 |
2,60 |
|
66 |
0,9215 |
0,0197 |
0,59 |
0,9500 |
0,0709 |
2,48 |
|
67 |
0,9175 |
0,0182 |
0,55 |
0.9470 |
0.0674 |
2,36 |
|
68 |
0.9130 |
0.0167 |
0.50 |
0,9440 |
0.0638 |
2.23 |
|
69 |
0.9085 |
0.0152 |
0,46 |
0,9400 |
0,0602 |
2,11 |
|
70 |
0,9040 |
0,0138 |
0,41 |
0,9355 |
0,0566 |
1.98 |
|
71 |
0,8990 |
0.0125 |
0,37 |
0.9305 |
0,0529 |
1,85 |
|
72 |
0,8940 |
0,0112 |
0.34 |
0,9250 |
0,0492 |
1,72 |
|
73 |
0.8885 |
0,0100 |
0,30 |
0,9190 |
0,0455 |
1,59 |
|
74 |
0.8825 |
0,0089 |
0,27 |
0,9125 |
0.0418 |
1,46 |
|
75 |
0.8760 |
0,0079 |
0,24 |
0,9055 |
0,0381 |
1.33 |
|
76 |
0,8690 |
0,0069 |
0,21 |
0,8980 |
0,0345 |
1,21 |
|
77 |
0,8615 |
0,0060 |
0,18 |
0,8900 |
0,0310 |
1,09 |
|
78 |
0,8535 |
0,0052 |
0.16 |
0.8815 |
0,0276 |
0,97 |
|
79 |
0,8450 |
0,0044 |
0,13 |
0,8720 |
0,0243 |
0.85 |
|
80 |
0,8360 |
0.0037 |
0,11 |
0,8620 |
0,0212 |
0,74 |
|
81 |
0.8260 |
0,0031 |
0,09 |
0,8510 |
0,0183 |
0,64 |
|
82 |
0.8150 |
0,0026 |
0,08 |
0,8390 |
0.0156 |
0.55 |
|
83 |
0,8030 |
0,0021 |
0.06 |
0,8260 |
0,0131 |
0,46 |
|
84 |
0,7900 |
0,0017 |
0,05 |
0,8120 |
0.0108 |
0,38 |
|
85 |
0,7760 |
0,0013 |
0,04 |
0,7970 |
0,0088 |
0,31 |
|
86 |
0.7610 |
0,0010 |
0.03 |
0,7820 |
0 0070 |
0,25 |
|
87 |
0,7450 |
0.0008 |
0,02 |
0.7660 |
0,0055 |
0,19 |
|
88 |
0.7280 |
0 0006 |
0.02 |
0,7990 |
0.0042 |
0.15 |
|
89 |
0,7100 |
0.0004 |
0,01 |
0,7310 |
0,0031 |
0.11 |
|
90 |
0.6910 |
0,0003 |
0,01 |
0.7120 |
0.0023 |
0,08 |
Tabulka II.
|
x |
Muži |
Ženy |
||||
|
l - s(x) |
(l - s(x)) (l - s(x)+1) |
1 /2pi(x,x-1/4) |
l - s(x) |
(l - s(x)) (l - s(x)+1) |
1 /2pi(x,x-1/4) |
|
|
20 |
0,4000 |
0,2600 |
- |
0,4690 |
0,3654 |
- |
|
21 |
0,4130 |
0,2718 |
0,4039 |
0,5010 |
0,3950 |
0,4150 |
|
22 |
0,4260 |
0,2835 |
0,4062 |
0,5330 |
0,4253 |
0,4206 |
|
23 |
0,4385 |
0,2951 |
0,4086 |
0,5630 |
0,4543 |
0,4262 |
|
24 |
0,4510 |
0,3067 |
0,4107 |
0,5930 |
0,4836 |
0,4314 |
|
25 |
0,4630 |
0,3181 |
0,4130 |
0,6230 |
0,5134 |
0,4365 |
|
26 |
0,4750 |
0,3297 |
0,4150 |
0,6520 |
0,5425 |
0,4417 |
|
27 |
0,4870 |
0,3414 |
0,4171 |
0,6760 |
0,5678 |
0,4466 |
|
28 |
0,4985 |
0,3529 |
0,4191 |
0,6960 |
0,5892 |
0,4506 |
|
29 |
0,5100 |
0,3647 |
0,4211 |
0,7140 |
0,6094 |
0,4538 |
|
30 |
0,5210 |
0,3762 |
0,4232 |
0,7300 |
0,6278 |
0,4567 |
|
31 |
0,5320 |
0,3876 |
0,4250 |
0,7440 |
0,6443 |
0,4592 |
|
32 |
0,5430 |
0,3991 |
0,4269 |
0,7560 |
0,6589 |
0,4615 |
|
33 |
0,5540 |
0,4108 |
0,4287 |
0,7670 |
0,6727 |
0,4633 |
|
34 |
0,5650 |
0,4226 |
0,4306 |
0,7770 |
0,6853 |
0,4650 |
|
35 |
0,5760 |
0,4346 |
0,4324 |
0,7870 |
0,6977 |
0,4666 |
|
36 |
0,5870 |
0,4467 |
0,4343 |
0,7960 |
0,7092 |
0,4682 |
|
37 |
0,5980 |
0.4587 |
0,4361 |
0,8040 |
0,7196 |
0,4695 |
|
38 |
0,6090 |
0,4708 |
0,4380 |
0,8120 |
0,7296 |
0,4708 |
|
39 |
0,6200 |
0,4830 |
0,4398 |
0,8200 |
0.7396 |
0,4720 |
|
40 |
0,6305 |
0,4949 |
0,4416 |
0,8270 |
0,7484 |
0,4733 |
|
41 |
0,6410 |
0,5070 |
0,4434 |
0,8340 |
0,7573 |
0,4743 |
|
42 |
0,6515 |
0,5192 |
0,4451 |
0,8400 |
0,7648 |
0,4754 |
|
43 |
0,6620 |
0,5316 |
0,4468 |
0,8460 |
0,7724 |
0,4764 |
|
44 |
0,6725 |
0,5441 |
0,4486 |
0,8520 |
0,7800 |
0,4773 |
|
45 |
0,6830 |
0,5566 |
0,4503 |
0,8575 |
0,7872 |
0,4783 |
|
46 |
0,6935 |
0,5694 |
0,4520 |
0,8630 |
0,7940 |
0,4791 |
|
47 |
0,7040 |
0,5822 |
0,4537 |
0,8680 |
0,8003 |
0,4800 |
|
48 |
0,7140 |
0,5948 |
0,4554 |
0,8730 |
0,8054 |
0,4808 |
|
49 |
0,7240 |
0.6074 |
0,4570 |
0,8780 |
0.8127 |
0,4816 |
|
50 |
0,7340 |
0,6199 |
0,4586 |
0,8830 |
0,8189 |
0,4824 |
|
51 |
0,7440 |
0,6324 |
0,4602 |
0,8875 |
0,8245 |
0,4832 |
|
52 |
0,7540 |
0,6450 |
0,4618 |
0,8920 |
0,8301 |
0,4838 |
|
53 |
0,7640 |
0,6578 |
0,4634 |
0,8960 |
0,8353 |
0,4846 |
|
54 |
0,7740 |
0,6703 |
0,4650 |
0,8995 |
0,8400 |
0,4852 |
|
55 |
0,7835 |
0,6824 |
0,4666 |
0,9030 |
0,8445 |
0,4857 |
|
56 |
0.7930 |
0,6947 |
0,4681 |
0,9065 |
0,8488 |
0,4862 |
|
57 |
0,8020 |
0,7058 |
0,4696 |
0,9100 |
0,8530 |
0,4868 |
|
58 |
0,8110 |
0,7161 |
0,4709 |
0,9135 |
0,8570 |
0,4874 |
|
59 |
0,8200 |
0,7265 |
0,4724 |
0,9170 |
0,8610 |
0,4879 |
|
60 |
0,8280 |
0,7361 |
0,4739 |
0,9200 |
0,8643 |
0,4885 |
|
61 |
0,8350 |
0,7440 |
0,4751 |
0,9225 |
0,8669 |
0.4890 |
|
62 |
0,8415 |
0,7510 |
0,4763 |
0,9250 |
0,8693 |
0,4894 |
|
63 |
0,8475 |
0,7577 |
0,4773! |
0,9265 |
0,8704 |
0,4898 |
|
64 |
0,8525 |
0,7630 |
0,4783 |
0,9275 |
0,8709 |
0,4901 |
|
65 |
0.8570 |
0,7679 |
0,4791 |
0,9282 |
0,8709 |
0,4902 |
|
66 |
0,8605 |
0,7714 |
0,4498 |
0,9287 |
0,8706 |
0,4903 |
|
67 |
0,8635 |
0,7741 |
0,4803 |
0.9286 |
0,8592 |
0,4905 |
|
68 |
0,8560 |
0,7759 |
0,4808 |
0,9285 |
0,8572 |
0,4904 |
|
69 |
0,8680 |
0,7769 |
0,4812 |
i 0,9280 |
0.8644 |
0,4905 |
|
70 |
0,8690 |
0,7751 |
0,4816 |
0,9265 |
0,8598 |
0,4904 |
|
71 |
0,8695 |
0,7730 |
0,1818 |
0,9245 |
0,8538 |
0,4903 |
|
72 |
0,8700 |
0,7704 |
0,4820 |
0,9215 |
0.8464 |
0,4900 |
|
73 |
0,8693 |
0,7656 |
0,4822 |
0,9178 |
0,8375 |
0,4897 |
|
74 |
0,8685 |
0,7599 |
0,4822 |
0,9130 |
0,8267 |
0.4892 |
|
75 |
0,8665 |
0,7530 |
0,4822 |
0,9070 |
0,8145 |
0,4885 |
|
76 |
0,8635 |
0.7439 |
0,4820 |
0,8990 |
0,8001 |
0,4877 |
|
77 |
0,8595 |
0.7336 |
0,4817 |
0,8905 |
0,7850 |
0,4555 |
|
78 |
0,8535 |
0,7212 |
0,4812 |
0,8815 |
0,7687 |
0,4854 |
|
79 |
0,8450 |
0,7064 |
0,4804 |
0,8720 |
0.7517 |
0,4841 |
|
80 |
0,8350 |
0,6605 |
0,4791 |
0,8620 |
0,7336 |
0,4829 |
|
81 |
0,8260 |
0,6732 |
0,4779 |
0,8510 |
0,7140 |
0,4815 |
|
82 |
0,8150 |
0,6544 |
0,4764 |
0,8390 |
0,6930 |
0,4799 |
|
83 |
0,8030 |
0,6344 |
0.4748 |
0,8260 |
0,6707 |
0,4781 |
|
84 |
0,7900 |
0,6130 |
0,4731 |
0,8120 |
0,6472 |
0.4763 |
|
85 |
0.7760 |
0,5905 |
0,4712 |
0,7970 |
0,6233 |
0.4743 |
|
86 |
0,7610 |
0,5569 |
0,4692 |
- |
- |
0,4721 |
|
87 |
0,7450 |
0.5424 |
0,4669 |
- |
- |
- |
|
88 |
0,7280 |
0,5169 |
0,4545 |
- |
- |
- |
|
89 |
0,7100 |
0,4906 |
0,4520 |
- |
- |
- |
|
90 |
0.6910 |
0.4537 |
0,4592 |
- |
- |
- |
Tabulka III.
|
x |
lx |
liix |
laax |
ix |
1 /4pi(x, x-1/4) |
Cx |
Ax |
laax-1/2 |
ix-1/2 |
laax-1/2ix-1/2 |
1 |
2 |
3 |
4 |
5 |
6 |
7 |
8 |
9 |
10 |
11 |
12 |
|
20 |
100000 |
- |
100000 |
0,0006 |
- |
- |
- |
- |
- |
- |
- |
- |
- |
- |
- |
- |
- |
- |
- |
- |
- |
- |
|
21 |
99335 |
36 |
99299 |
0,0008 |
0,4039 |
24,23 |
12,00 |
99650 |
0,0007 |
69,76 |
- |
- |
- |
- |
- |
- |
- |
- |
- |
- |
- |
- |
|
22 |
98645 |
69 |
98576 |
0,0010 |
0,9062 |
32,27 |
7,80 |
98938 |
0,0009 |
89,04 |
28,81 |
- |
- |
- |
- |
- |
- |
- |
- |
- |
- |
- |
|
23 |
97956 |
103 |
97853 |
0,0012 |
0,4086 |
90,28 |
6,14 |
98215 |
0,0011 |
108,04 |
37,93 |
18,96 |
- |
- |
- |
- |
- |
- |
- |
- |
- |
- |
|
24 |
97271 |
141 |
97130 |
0,0014 |
0,4107 |
48,23 |
5,24 |
97492 |
0,0013 |
126,74 |
47,38 |
25,24 |
15,10 |
- |
- |
- |
- |
- |
- |
- |
- |
- |
|
25 |
96593 |
183 |
96410 |
0,0016 |
0,4130 |
56,16 |
4,68 |
96770 |
00015 |
145,16 |
57,16 |
31,89 |
20,10 |
12,87 |
- |
- |
- |
- |
- |
- |
- |
- |
|
26 |
95922 |
229 |
95693 |
0,0018 |
0,4150 |
64,02 |
4,31 |
96052 |
0,0017 |
163,29 |
67,21 |
38,87 |
25,54 |
17,29 |
11,53 |
- |
- |
- |
- |
- |
- |
- |
|
27 |
95256 |
279 |
99977 |
0,0020 |
0,4171 |
71,84 |
4,03 |
95335 |
0,0019 |
181,14 |
77,56 |
46,17 |
31,29 |
22,04 |
15,53 |
10,62 |
- |
- |
- |
- |
- |
- |
|
28 |
94592 |
334 |
94258 |
0,0021 |
0,4191 |
79,61 |
3,81 |
94618 |
0,0021 |
198,70 |
88,22 |
53,83 |
37,35 |
27,08 |
19,82 |
14,31 |
9,94 |
- |
- |
- |
- |
- |
|
29 |
93928 |
390 |
93538 |
0,0023 |
0,4211 |
83,35 |
3,63 |
93898 |
0,0022 |
206,58 |
99.05 |
61,84 |
43,76 |
32.42 |
24,40 |
18,28 |
13,39 |
9,40 |
- |
- |
- |
- |
|
30 |
93263 |
449 |
92814 |
0.0025 |
0,4232 |
91,05 |
3,48 |
93176 |
0,0024 |
223,62 |
105,36 |
70,13 |
50,52 |
38,09 |
29,26 |
22,52 |
17,12 |
12,67 |
8,96 |
- |
- |
- |
|
31 |
92595 |
515 |
92080 |
0,0026 |
0,4250 |
98.61 |
3,35 |
92447 |
0,0026 |
240,36 |
116,51 |
75,33 |
57,58 |
44,10 |
34,43 |
27,02 |
21,10 |
16,20 |
12,07 |
8,59 |
- |
- |
|
32 |
91916 |
582 |
91334 |
0,0027 |
0,4269 |
102,20 |
3,23 |
91707 |
0,0027 |
247.61 |
127,87 |
84,12 |
62,15 |
50,41 |
39,91 |
31,82 |
25,33 |
19,96 |
15,44 |
11,12 |
8,26 |
- |
|
33 |
91220 |
650 |
90570 |
0,0028 |
0,4287 |
105,72 |
3,11 |
90952 |
0 0028 |
254,67 |
134,45 |
93,15 |
69,74 |
54,57 |
95,68 |
36,90 |
29,84 |
2396 |
19,02 |
14,79 |
11,12 |
7,95 |
|
34 |
90503 |
719 |
89784 |
0,0029 |
0,4306 |
109,20 |
2,99 |
90177 |
0,0029 |
261,51 |
141,09 |
98,82 |
77,59 |
61,41 |
49,52 |
42,27 |
34,61 |
28,23 |
22,82 |
18,22 |
14,22 |
18,35 |
|
35 |
89762 |
791 |
88971 |
0,0030 |
0,9324 |
112,59 |
2,88 |
89378 |
0,0030 |
268,13 |
197,75 |
104,62 |
82,71 |
68,47 |
55,80 |
45,85 |
3966,1 |
32,74 |
26.89 |
21,85 |
17,51 |
31,35 |
|
36 |
88991 |
864 |
88127 |
00031 |
0,4343 |
115,92 |
2,77 |
88549 |
0,0031 |
274,50 |
154,44 |
110,52 |
87,99 |
73,16 |
62,29 |
51,69 |
43,03 |
37,52 |
31,18 |
25,74 |
20,99 |
47,01 |
|
37 |
88190 |
940. |
87250 |
0.0033 |
0,4361 |
119,14 |
2,66 |
87689 |
0,0032 |
280,60 |
161,13 |
116,52 |
93,39 |
78,00 |
66,65 |
57,73 |
98,53 |
40,71 |
35,72 |
29,84 |
24,72 |
65,40 |
|
38 |
87357 |
1022 |
86335 |
0,0035 |
0,4380 |
126,11 |
2,56 |
86793 |
00034 |
295,10 |
167,80 |
122,62 |
98,87 |
82.98 |
71,14 |
61,80 |
54,20, |
45,91 |
38,75 |
34,17 |
28,64 |
86,63 |
|
39 |
86485 |
1112 |
85373 |
0,0037 |
0,4398 |
132,90 |
2,46 |
85854 |
0,0036 |
309,07 |
179,72 |
128,70 |
104,47 |
88,04 |
75,76 |
66,00 |
58,03 |
51,27 |
43,69 |
37,06 |
32,79 |
110,76 |
|
40 |
85575 |
1207 |
84368 |
0,0040 |
0,4416 |
139,49 |
2,37 |
84871 |
0,0039 |
331,00 |
191,62 |
138,92 |
110,10 |
93.24 |
80.47 |
70,31 |
61,98 |
54,88 |
48,77 |
41,77 |
35,54 |
137,88 |
|
41 |
84637 |
1318 |
83319 |
0,0044 |
0,4434 |
149,64 |
2,27 |
83844 |
0,0092 |
352,14 |
208,70 |
149,27 |
119,33 |
98,48 |
85,31 |
74,72 |
66,03 |
58,61 |
52,19 |
46,60 |
40,04 |
166,50 |
|
42 |
83675 |
1441 |
82234 |
0,0048 |
0,4451 |
163,18 |
2,18 |
82777 |
0,0096 |
380,77 |
225,72 |
163,83 |
128,75 |
106,98 |
90,21 |
79,24 |
70,17 |
62,44 |
55,72 |
49,85 |
44,66 |
198,22 |
|
43 |
82689 |
1578 |
81111 |
0,1052 |
0,4468 |
176,36 |
2,09 |
81673 |
0,0050 |
408,37 |
248,07 |
178,54 |
141,79 |
115,68 |
98,10 |
83,81 |
74,41 |
66,35 |
59,34 |
53,20 |
47,75 |
232,97 |
|
44 |
1673 |
1728 |
79945 |
0,0057 |
0,4486 |
189,21 |
2,00 |
80528 |
0,0055 |
442,90 |
270,34 |
197,71 |
155,06 |
127,61 |
106,16 |
91,17 |
78,71 |
70.39, |
6304 |
56,63 |
50,93 |
269.10 |
|
45 |
20624 |
789 |
78726 |
11,0062 |
0,4503 |
205,20 |
1,92 |
79336 |
0,0060 |
476,02 |
297,85 |
217,08 |
172,30 |
139,79 |
117,18 |
98,70 |
85,62 |
74,39 |
66,81 |
60,14 |
54,18 |
306,59 |
|
46 |
79536 |
2082 |
77454 |
0,0068 |
0,4520 |
22062 |
1,84 |
78090 |
0,0065 |
507,59 |
325.12 |
240,96 |
189,84 |
155,59 |
128,45 |
108,98 |
92,69 |
80,90 |
70,63 |
63,71 |
57,51 |
345,37 |
|
47 |
78400 |
2284 |
76116 |
11,0077 |
11,4537 |
238,96 |
1,76 |
76785 |
0,0073 |
560,53 |
352 01 |
264,97 |
211,44 |
171,71 |
143.07 |
119,48 |
102,34 |
87,56 |
7679 |
67,32 |
60,89 |
385,40 |
|
48 |
77216 |
2524 |
74692 |
0,0087 |
0,4554 |
266,91 |
1,68 |
75404 |
0,0082 |
618,31 |
394,61 |
289,00 |
233,31 |
191,56 |
157,99 |
133,11 |
112,19 |
96,66 |
8309 |
73,17 |
64,30 |
426,61 |
|
49 |
75981 |
2797 |
73184 |
0,0098 |
0,4570 |
296,97 |
1,61 |
73938 |
00093 |
687,62 |
441,47 |
326,034 |
255.33 |
211,73 |
176,35 |
147,03 |
124,96 |
105,94 |
91,69 |
79,13 |
69,85 |
468,87 |
|
50 |
74693 |
3110 |
71583 |
0,0110 |
0,4586 |
328,91 |
1,53 |
72384 |
0,0104 |
752,79 |
497,84, |
367,74 |
289,30 |
232,09 |
195,02 |
164,15 |
138,00 |
117,97 |
1011,46 |
87,29 |
75,48 |
519,10 |
|
51 |
73348 |
3457 |
69891 |
0,0124 |
0,4602 |
362,37 |
1,46 |
70737 |
0,0117 |
8,7,62 |
552,55, |
417,69 |
327,10 |
263,41 |
213,89 |
181,56 |
154,04 |
130,26, |
111,84 |
95,59 |
83,20 |
562,11 |
|
52 |
71996 |
3848 |
68098 |
0,11140 |
0,4618 |
400,22 |
1,39 |
68995 |
0,0132 |
910,73 |
615,75 |
466,63 |
372,79 |
298,18 |
242,89 |
199,13 |
170,34 |
195,37 |
123,95 |
106,36 |
705,71 |
- |
|
53 |
70483 |
4288 |
66195 |
0,0158 |
0,4634 |
441,79 |
1,32 |
67147 |
0,0149. |
1000,49 |
686,69 |
523,39 |
417,63 |
340,25 |
275,10 |
226.13 |
186,78, |
160.72 |
137,72 |
117,34 |
772,68 |
- |
|
54 |
8958 |
4778 |
64180 |
0,0181 |
0,4650 |
486,33 |
1,26 |
65188 |
0,0170 |
1108,20 |
764,37 |
587,12 |
459,74 |
381,63 |
314,08 |
256,12 |
212,06 |
176,17 |
152,22 |
130,83 |
845,96 |
- |
|
55 |
67371 |
5341 |
62030 |
0,0206 |
0,4666 |
542,03 |
1,19 |
63105 |
0,0194 |
1224,24 |
857,75 |
658,12 |
528,1 |
429,77 |
352,47 |
292,41 |
240,11, |
19995 |
166,78 |
1071,99 |
- |
- |
|
56 |
65717 |
5968 |
59749 |
0,0240 |
0,4681 |
598,15 |
1,13 |
60890 |
0,11223 |
1357,85 |
959,19 |
742,81 |
593,62 |
483,97 |
397,15 |
328,15 |
274,05 |
226,30 |
189,19 |
1174,73 |
- |
- |
|
57 |
63993 |
6691 |
57302 |
0,0280 |
0,4696 |
673,40 |
1,07 |
58526 |
0,0260 |
1521,68 |
1076,78 |
835,45 |
671.35 |
544,29 |
447.48 |
369,75 |
307,44 |
258,16 |
213,97 |
1291,36 |
- |
- |
|
58 |
62203 |
7515. |
54688 |
0,0324 |
0,4709 |
755,54 |
1,01 |
55995 |
0,0302 |
1691,05 |
1220,39 |
943,26 |
756,50 |
616,23 |
503,52 |
416.60 |
346,31 |
289,30 |
243,81 |
1422,54 |
- |
- |
|
59 |
60339 |
8433 |
51906 |
0,0374 |
0,4724 |
837,04 |
0,95 |
53297 |
0.0349 |
1860,07 |
1371,44 |
1073,94 |
855,54 |
695,00 |
570,38 |
968,78 |
390,06 |
325,53 |
184418 |
- |
- |
- |
|
60 |
58402 |
9440 |
48962 |
0,0438 |
0,4739 |
919,97 |
0,90 |
50434 |
0,0406 |
2047,62 |
1525,26 |
1210,98 |
975,35 |
786.58 |
643,64 |
530,97 |
438,78 |
366,27 |
2041,70 |
- |
- |
- |
|
61 |
56391 |
10562 |
45829 |
0,0520 |
0,4751 |
1918,87 |
0,84 |
47396 |
0,0479 |
2270,27 |
1695,43 |
1351,38 |
1100,78 |
897,32 |
728 85 |
599,10 |
496,72 |
411,58 |
2261,08 |
- |
- |
- |
|
62 |
54307 |
11820 |
42487 |
0,0610 |
0.4763 |
1135,07 |
0.79 |
441.58 |
0.0565 |
2494,93 |
1895,68 |
1507,24 |
1229,49 |
1012,61 |
831,01 |
678,27 |
560,16 |
2969,71 |
- |
- |
- |
- |
|
63 |
52148 |
13170 |
3 8978 |
0,0710 |
0.4773 |
1237,02 |
0,74 |
40733 |
00660 |
2688,38 |
2099,48 |
1689,05 |
1371,44 |
1130,76 |
937,27 |
772,84 |
633,17 |
3298,66 |
- |
- |
- |
- |
|
64 |
49917 |
14576 |
35341 |
0,0820 |
11,4783 |
1323,67 |
0,69 |
37160 |
0,0765 |
2842,74 |
2278.40 |
1873,79 |
1537,04 |
1261,04 |
1045,95 |
870,72 |
4384,75 |
- |
- |
- |
- |
- |
|
65 |
4718 |
15985 |
31633 |
11,0930 |
11,4791 |
1388,41 |
0,64 |
33487 |
0,0875 |
2930,11 |
2423.44 |
2036,89 |
1704,96 |
1412,54 |
1165,20 |
970,64 |
4882,33 |
- |
- |
- |
- |
- |
|
66 |
45251 |
17309 |
27942 |
0,1040 |
0,4798 |
1411,51 |
0,59 |
29788 |
0,0985 |
2934,12 |
2511,10 |
2168,98 |
1852,76 |
1565,15 |
1303.77 |
6495,32 |
- |
- |
- |
- |
- |
- |
|
67 |
42826 |
184711 |
24356 |
11,1160 |
0,4803 |
1395,74 |
0,55 |
26149 |
0,1100 |
2876,39 |
2524,81 |
2249,95 |
1971,60 |
1698,98 |
1441,50 |
7186,86 |
- |
- |
- |
- |
- |
- |
|
68 |
40346 |
19429 |
20917 |
0,1290 |
0,4808 |
1358,40 |
0,50 |
22637 |
01225 |
2773,03 |
2483,76 |
2263,49 |
2042,73 |
1804,41 |
9475,33 |
- |
- |
- |
- |
- |
- |
- |
|
69 |
37823 |
211141 |
17682 |
0,1420 |
0,4812 |
1298,42 |
0,46 |
19300 |
0,1355 |
2615,15 |
2401,44 |
2226,69 |
205185 |
1864,20 |
10298,40 |
- |
- |
- |
- |
- |
- |
- |
|
70 |
35268 |
20559 |
14709 |
0,1578 |
11,4816 |
1209,22 |
11,41 |
16196 |
0,1499 |
2427,78 |
2269,95 |
2151,69 |
2014,04 |
12913,83 |
- |
- |
- |
- |
- |
- |
- |
- |
|
71 |
32692 |
20695 |
11997 |
0,1709 |
0,4818 |
1118,30 |
0,37 |
13353 |
0,1644 |
2195,23 |
2109,74 |
2031,61 |
1939,75 |
13494,79 |
- |
- |
- |
- |
- |
- |
- |
- |
|
72 |
30109 |
20478 |
9631 |
0,1837 |
11,48211 |
988,24 |
11,34 |
10814 |
0,1773 |
1917,32 |
1908,75 |
1881,89 |
1823,37 |
13875,65 |
- |
- |
- |
- |
- |
- |
- |
- |
|
73 |
27537 |
19935 |
7602 |
0,1925 |
0,4822 |
853,12 |
0.30 |
8617 |
0,1881 |
1620,86 |
1668,07 |
1696,88 |
1681,47 |
14034,92 |
- |
- |
- |
- |
- |
- |
- |
- |
|
74 |
24992 |
19064 |
5928 |
0,1998 |
0,4822 |
705,64 |
0,27 |
6765 |
0,1962 |
1327,29 |
1409.34 |
1477.08 |
15471,69 |
- |
- |
- |
- |
- |
- |
- |
- |
- |
|
75 |
22492 |
17922 |
4570 |
0,2062 |
0,9822 |
571,12 |
0,24 |
5249 |
0,2030 |
1065,55 |
1152,75 |
1240,92 |
14957,29 |
- |
- |
- |
- |
- |
- |
- |
- |
- |
|
76 |
20057 |
16576 |
3481 |
0,2120 |
0,4820 |
454,20 |
0,21 |
4026 |
0,2091 |
841,84 |
923,30 |
1008,66 |
14189,63 |
- |
- |
- |
- |
- |
- |
- |
- |
- |
|
77 |
17706 |
15092 |
2614 |
0,2173 |
0,4817 |
355,48 |
0,18 |
3048 |
0,2147 |
654,41 |
726,93 |
14009,66 |
- |
- |
- |
- |
- |
- |
- |
- |
- |
- |
|
78 |
15461 |
13532 |
1929 |
0,2223 |
0,4812 |
273,33 |
0,16 |
2272 |
0.2198 |
499,39 |
562,47 |
12695,57 |
- |
- |
- |
- |
- |
- |
- |
- |
- |
- |
|
79 |
13342 |
11948 |
1394 |
0,2269 |
0,4804 |
206,00 |
0,13 |
1662 |
0,2246 |
373,29 |
11741,97 |
- |
- |
- |
- |
- |
- |
- |
- |
- |
- |
- |
|
80 |
11362 |
10389 |
973 |
0,2313 |
0,4791 |
151,54 |
0,11 |
1184 |
0,2291 |
271,25 |
10237,39 |
- |
- |
- |
- |
- |
- |
- |
- |
- |
- |
- |
|
81 |
9538 |
8893 |
645 |
0,2354 |
0,4779 |
107,55 |
0,09 |
809 |
0,2334 |
188,82 |
8785,22 |
- |
- |
- |
- |
- |
- |
- |
- |
- |
- |
- |
|
82 |
7884 |
7485 |
399 |
0,2392 |
0,4764 |
72,33 |
0,08 |
522 |
0,2373 |
123,87 |
7412,56 |
- |
- |
- |
- |
- |
- |
- |
- |
- |
- |
- |
|
83 |
6403 |
6188 |
215 |
9,2441 |
0,4748 |
45,32 |
0,06 |
307 |
0,2417 |
74,20 |
6142,19 |
- |
- |
- |
- |
- |
- |
- |
- |
- |
- |
- |
|
84 |
5105 |
5017 |
88 |
0,2505 |
0,4731 |
24,83 |
0 05 |
152 |
0,2473 |
37,59 |
4991,76 |
- |
- |
- |
- |
- |
- |
- |
- |
- |
- |
- |
|
85 |
3994 |
3984 |
10 |
0,2591 |
0,4712 |
10,39 |
0,04 |
49 |
0,2548 |
12,49 |
3973,19 |
- |
- |
- |
- |
- |
- |
- |
- |
- |
- |
- |
|
86 |
3069 |
3094 |
- |
0,2716 |
0,4692 |
1,22 |
0,03 |
- |
0,2654 |
- |
3092.89 |
- |
- |
- |
- |
- |
- |
- |
- |
- |
- |
- |

