Pro průkaz, že prémie této skupiny bylo
v obchodu se zaměstnanců stačí o sobě
k úhradě pojistných nároků,
jež jim návrh poskytuje, stačí dokázati,
že složení podle stáří,
pohlaví a rodinného stavu není nepříznivější
než u stavu pojištěnců Všeobecného
pensijního ústavu koncem roku 1910, pro nějž
bylo v technické zprávě o novelisaci zákona
(č. 21.187 příloh k stenogr. prot. poslanecké
sněmovny) dokázáno, že vezme-li se ohled
na příznivější složení
budoucích přístupů, unese ve svém
celku vyšší zatížení, jež
novelou z roku 1914 vzniklo.
K tomu nutno poznamenati, že ryzí premie za všechny
nároky podle pensijního schématu zákona
při starobním důchodu 100 po 40 letech obnáší:
Převyšují tudíž ryzí premie
ve stářích přes 37 roků pro
muže a ve stářích přes 43 roky
pro ženy premii skutečně placenou.
O složení stavu pojištěnců Všeobecného
pensijního ústavu koncem r. 1910 podle pohlaví
a stáří a stavu zřízenců
a dělníků skupiny povolání
C XVIII (obchod se zbožím) podle sčítání
z roku 1910 pro Čechy, Moravu a Slezsko byla odvozena tato
tabulka:
| do 15 | - | 14.30 | 2.65 | 15.40 | 3.15 |
| 16-20 | 5.- | 31.88 | 24.61 | 34.28 | 28.64 |
| 21-25 | 17.61 | 16.76 | 21.40 | 15.50 | 21.67 |
| 26-30 | 20.26 | 10.- | 14.70 | 9.67 | 13.82 |
| 31-35 | 16.72 | 6.49 | 10.53 | 6.80 | 10.18 |
| 36-40 | 13.30 | 5.46 | 7.60 | 5.49 | 6.08 |
| 41-45 | 10.71 | 4.46 | 5.81 | 3.90 | 5.56 |
| 46-50 | 8.73 | 3.28 | 4.30 | 3.11 | 3.54 |
| 51-55 | 6.33 | 2.54 | 3.40 | 2.03 | 2.95 |
| 56-60 | 1.34 | 1.99 | 2.52 | 1.56 | 2.13 |
Za účelem srovnání budiž ještě
ze statistiky německé říše sv.
203 uvedena tabulka složení podle stáří
a pohlaví příslušníků
povolání: prodavačů, obchodních
pomocníků, příručí a
kupeckých zřízenců bez označení
(skup. 4a. 8.)
| Stáří pod | |||||||||
| Procent |
Kdežto v třídách stáří
40-57, jež přinášejí při
pojištění ztrátu, bylo v roce 1910 27.11%
všech pojištěnců Všeobecného
pensijního ústavu, bylo v těchže třídách
12.27% dělníků zaměstnaných
v obchodu se zbožím v Čechách, na Moravě
a ve Slezsku, v kteréžto skupině je obsažena
kategorie příručích, obchodních
pomocníků, atd. a 6.44% obchodních příručích
a pomocníků v Německu.
Pokud se týče složení podle pohlaví,
bylo koncem roku 1910 13.03 % všech pojištěnců
Všeobecného pensijního ústavu ženského
pohlaví, kdežto mezi dělníky v obchodu
zbožím bylo v r. 1910 25.98 % žen a mezi obchodním
pomocným personálem v Německu bylo dokonce
44.10% žen. Ze zřízenců obchodu zbožím
bylo v Čechách 66.04% svobodných oproti 73.36
% dělníků této skupiny povolání
a podle německých zkušeností o obchodních
pomocnících a příručích
bylo dokonce 79.88% svobodných koncem r. 1907.
Jelikož také pravidelný přístup
do pojistné povinnosti děje se u skupiny obchodních
pomocníků a příručích
podstatně v ročnících stáří
16-25 (viz Österr. Statistik, Neue Folge 3. sv., I. sešit
1916, str. 111) je prokázáno, že u skupiny
té docíleno bude rovnováhy mezi premiemi
a dávkami zákona bez porušení rovnováhy
jiných skupin pojištěnců, tak že
proti rozšíření pojistné povinnosti
v tomto směru nemůže býti s hlediska
pojistně-matematického námitek.
K témuž výsledku vede též podrobný
výpočet, provedený za předpokladu,
že poměrné rozdělení podle tříd
služného je totéž jako u pojištěnců
Všeobecného pensijního ústavu.
Za téhož předpokladu lze odhadnouti náklady
pojištění skupiny obchodních pomocníků
a příručích v prvých šesti
třídách na K 8,443.000.- pro muže a
K 2,463.000.- pro ženy ročně.
K rozšíření pojistné povinnosti
vede též snížení stáří,
v němž počíná pojistná
povinnost, na 16. rok ve shodě s německým
zákonem a rakouským návrhem sociálního
pojišťování. Jest odůvodněno
mimo jiné zahrnutím obchodních pomocníků,
z nichž nalézalo se podle německé statistiky
10.46% ve věku 16-18, kteréžto číslo
bude u nás jistě, jak patrno z tab. 2., převýšeno.
Odstranění dolní meze prvé třídy služného K 600.- je odůvodněno mimo jiné též snížením stáří pro počátek pojistné povinnosti na 16 let. Podle rakouské statistiky o soukromých úřednících z roku 1896 byl počet zřízenec s platem menším než korun 600.-1.60%. V Němec byl počet zřízenců pojištěných v třídě A (do 550 M) podle zprávy říšského pojišťovacího ústavu pro zřízence za rok 1917 6.42%, při čemž třeba vzíti v úvahu různý rozsah pojistné povinnosti v Německu a rakouského statistického šetření r. 1896.
Nutnost připojení nových tříd
služného je nejlépe prokázána
následujícím sestavením, které
podává seskupení pojištěnců
Všeobecného pensijního ústavu ve Vídni
v různých letech.
Od roku 1910 zvýšil se poměrný počet
mužských pojištěnců Všeobecného
pensijního ústavu v VI. tř. z 20.5% na 48.9%
a ženských pojištěnců z 1.0% na
11.8%.
Podle šetření provedeného u Zemské
úřadovny I v Praze k 1./7. 1919 jest z celkového
počtu 20.422 pojištěnců 11.200 t. j.
54.84% v třídě VI. a sice 63.57% mužských
a 36.18 procent ženských pojištěnců.
Téměř pro dvě třetiny mužských
pojištěnců nemá tedy za platnosti dnešního
zákona zvyšování služebních
požitků vlivu na výši pensijních
nároků. U náhradních zařízení
je obsazení nejvyšší třídy
služného poměrně ještě silnější.
Připojením nových 7 tříd a
s ním spojeným zvýšením maximálního
započítatelného obnosu na 7.200.- žádaným
ostatně již pamětním spisem Všeobecného
pensijního ústavu ve Vídni v r. 1912, uvádí
se naše pensijní pojištění na stejné
niveau s německým, které má 9 tříd
až do 5.000 marek a kde žádá se rovněž
přičlenění tříd dalších.
V nových třídách děje se pojišťování
podle pojistného plánu zákona s jedinou výjimkou:
ustanovení o výpočtu základního
obnosu v nových třídách se mění.
Podle platného zákona jest pro vyměření
základního obnosu invalidního důchodu
směrodatná třída služného,
do níž jest za řaditi pojištěnce
podle ročního průměru započítatelných
požitků, jež měl během 24 příspěvkových
měsíců před uplynutím čekací
doby, případně před dřívějším
připadnutím invalidního důchodu. Naproti
tomu vyměřuje se stoupání invalidního
(a tedy i ostatních důchodů) jednou osminou
premií dospělých v době příspěvkové
následující po 120. měsíci
příspěvkovém.
Tento způsob vyměřování důchodu
jest kompromisem mezi pensijním systemem úředníků
v státní nebo jiné stabilní službě,
v níž stanoví se nároky podle posledního
platu, a systemem pojištění dělnického,
v němž vyměřují se nároky
podle zaplacených příspěvků,
a tím též podle služebních požitků
během celé doby pojištění a sice
tak, že příspěvky placené během
čekací doby mají větší
vliv na stoupání než ostatní; podle
tohoto systému jest budován německý
zákon o pensijním pojištění.
Je nesporno, že ustanovení rakouského zákona
o počítání základního
obnosu přináší pojištěncům
značnou výhodu, kterou by bylo nesnadno nahraditi
jinou a že námitky, které od počátku
byly proti němu uváděny (využívání
pojištěnci a j.) nebyly skutečným vývojem
pojištění potvrzeny.
Jest však nemožno převzíti ustanovení
o základním obnosu pro vyměřování
nároků ve vyšších třídách
než VI. z tohoto důvodu: Zatížení
vznikající z přestupu do vyšších
tříd služného kryto jest přirážkami
k premiím vypočteným podle průměrného
stoupání služného, pozorovaného
na celku všech pojištěnců (podle zkušeností
Všeobecného pensijního ústavu v roce
1910). Při tom jest základní myšlenkou
tohoto výpočtu zásada zachování
výše platu.
V prvých letech pensijního pojištění
osvědčila se tato zásada. Avšak poslední
léta předválečná a léta
válečná, hlavně stoupání
služného v roce 1918, zvrátila předpoklady
výpočtu přirážek zvyšovacích
nadobro. Proti neočekávanému a tedy pojistně
- matematicky nekrytému stoupání služného
působí ovšem zvýšení počátečního
niveau služného, ustanovení o průměru
24 posledních měsíců a vzrůst
reserv vystouplých pojištěnců, který
může býti uvažován jen ve spojení
se ztrátami ze změny třídy. Jasno
o těchto vzájemně se rušících
vlivech může přinésti pouze podrobné
šetření u příležitosti prvé
matematické bilance ústavu. Až do té
doby není záhodno měniti ustanovení
o základním obnosu v dosavadních šesti
třídách.
Avšak převzetí tohoto ustanovení pro
třídy vyšší než VI. vyžadovalo
by nového výpočtu přirážek
ke krytí zvyšování a pro výpočet
ten chybí úplně materiál, ježto
se hlášení platů u Všeobecného
pensijního ústavu omezuje většinou na
obnosy do K 3000.- nehledě ani k nebezpečnosti tohoto
způsobu výpočtu základních
obnosů při započítatelnosti požitků
až do 7200.- korun. Avšak i kdyby tu byl postačující
materiál, byly by přirážky potřebné
vyšší, než by snesly premie dnešní,
a bylo by tedy třeba premie v poměru k požitkům
zvýšiti, což nebylo v plánu této
reformy.
Z těchto důvodů byl pro výpočet
základního obnosu nároků získaných
ve třídách vyšší než
VI. formulován § 8. tak, že všechny výhody
dosavadního způsobu počítání
základního obnosu v prvých šesti třídách
a tedy i nároky dosud získané zůstávají
zachovány, za měsíce získané
však v čekací době ve třídách
vyšších než VI. přistupuje k základnímu
obnosu třídy VI. jedna čtvrtina rozdílu
premií v těchto vyšších třídách
oproti premii třídy VI.
Teprve zkušenosti získané v nejbližších
letech ukážou, má-li býti převzat
dosavadní způsob počítání
základního obnosu též pro třídy
vyšší a vybudován ve smyslu pensijního
schematu úředníků ve státních
a stabilních službách, nebo má-li býti
opuštěn a nahražen poskytnutím jiných
výhod pojištěncům.
Také při novém způsobu počítání
základního obnosu ve třídách
vyšších než VI. mohou vésti za dnešního
způsobu počítání premiových
reserv přestupy do vyšších tříd
během čekací doby k ztrátám
pro nositele pojištění právě
jako již nyní v třídách I.-VI.
přestupy do vyšší třídy
po uplynutí čekací doby.
Ztráty tyto vyrovnávají se v celku zisky,
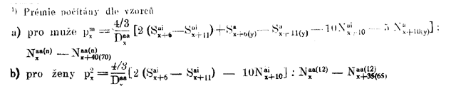
jak je patrno z následující tabulky č.
5, udávající ryzí premie pro muže
potřebné pro krytí zvýšení
starobního důchodu o K 100 po 40 letech příspěvkových
a příslušných pensijních nároků
při 10tileté čekací době.1)

(Viz tabulku 5. na straně následující!)
Ve prospěch nositelů pojištění
jest při tom okolnost, že v soukromých službách
po služební době 25 let nastupuje v průměru
snížení platů.
Navrhovaný způsob výpočtu základního
obnosu poskytuje v daném případě výhodu,
že uvolňují se jím části
premií, které umožňují prováděti
ve větším rozsahu léčebnou péči
a zlepšiti v některých bodech dávky
zákona, bez porušení finanční
rovnováhy nositelů pojištění.
Části premií, o něž se jedná,
jsou obsaženy v tabulce 6. na straně následující.
Z premií třídy VIII. uvolňují
se obnosy dvojnásobné, v třídě
IX. trojnásobné atd., obnosů tam uvedených.
| ||
Jest nutno oceniti ještě náklady, které
připojení nových tříd národnímu
hospodářství republiky přinese. Následkem
úplného nedostatku spolehlivých dat může
býti odhad proveden jen s jakousi přibližností.
Ze statistiky povolání (ze sčítání
v roce 1910) bylo po vyloučení různých
skupin (na př. C XXI a 2, C XXI 2 atd) odvozeno pro Čechy,
Moravu a Slezsko pro počet zaměstnanců podléhajících
pojistné povinnosti koncem r. 1910 číslo
100.062, z čehož bylo 18.960 žen. S připočtením
odhadnutého počtu obchodních pomocníků
bylo všech pojištěnců 138.084, z čehož
28.891 žen.
Ze šetření provedeného s materiálem
Zemské úřadovny I v Praze (20.000 pojištěnců)
a s materiálem několika větších
náhradních ústavů, které pojišťují
roční požitky služební přes
7200 K, bylo sestaveno toto rozdělení ve třídy:
Tomuto rozdělení odpovídá (při
vyloučení zaměstnanců pojištěných
náhradně asi v počtu 25.000 už dříve
na požitky vyšší dolní meze třídy
VI.) vyšší příjem na premii K 15,817.000.
Při odhadu vzaty za základ údaje statistiky
povolání z r. 1910 a ke změnám v počtu
zřízenců od té doby jako nepostižitelným
vzhledem k nepravidelnostem vyvolaným válkou nebylo
hleděno.
Změny při výpočtu premiových
reserv, potřebné následkem připojení
nových tříd, budou uvedeny ve stanovách
Všeobecného pensijního ústavu.
1. Podle § 8. návrhu má snížený
invalidní důchod mezi 60. a 120. měsícem
příspěvkovým stoupati ročně
o jednu patnáctinu základního obnosu, kdežto
dosud zůstával v této době nezměněně
vyměřen dvěma třetinami základního
obnosu.
Ryzí premie roční potřebné
pro krytí tohoto zlepšení jsou ve výtahu
uvedeny v této tabulce:1)

Zavedením stoupání invalidního důchodu
mezi pátým a desátým rokem pojištění
zvyšují se tedy premie o zlomky, které teprve
po 40. roce stáří u muže a po 45. roce
u ženy převyšují dvě procenta premie,
při čemž třeba uvážiti,
že přístup po roce 1909 bude se díti
výlučně v ročnících
16-25, kdežto pro stav pojištěnců převzatý
rokem 1909 výhoda § 8 nezpůsobuje nového
zatížení.
2. Požitek vychovávacího příspěvku
prodlužuje se v návrhu v § 17., odst. 2. i přes
18. rok věku. Premie potřebné ke krytí
takto pozměněného nároku na vychovávací
příspěvky pro muže jsou vypočteny
v následující tabulce pro vychovací
příspěvek 40/3 po desetileté čekací
době, tedy v procentech starobního důchodu
po 40 letech; z tabulky
| Stáří při vstupu | ||||||||||
| Roční premie za vychov. přísp. 40/3 do 20 r. splatný | ||||||||||
| Zvýšení premie v % star. důchodu | ||||||||||
| Zvýšení premie v % celé bruttopremie |
je zřejmo též, jak vysoké procentuální
zvýšení celé bruttopremie jest poskytnutím
této výhody způsobeno.
Zvýšení to nepřesahuje v žádném
případě 1.70% celé premie a je z části
kryto tím že ustanovení omezující
úhrnnou výši vychovávacích příspěvků
v § 15. nebyla pojistně-matematicky při novelisaci
v r. 1914 plně vystižena, nýbrž v premii
vědomě ponechána bezpečnostní
přirážka.
3. § 17 a návrhu zavádí příplatky
vychovací pro děti osoby, která požívá
invalidního nebo starobního důchodu ve výši
1/6 základního obnosu, případně
1/6 důchodu sníženého.
Ryzí premie za pojištění tohoto nového
druhu nároku jsou patrny ve výtahu v následující
tabulce a sice v sloupci 2. v procentech starobního důchodu,
který by příslušel po 40 letech, a v
sl. 3. v procentech premie, v obou případech za
předpokladu 10leté čekací doby.1)

Premie nepřevyšuje nikde výše 2.50% celé
bruttopremie.
4. Pojistně-matematická hodnota nároku na
pohřebné pro pozůstalé po příjemcích
důchodů nebo vychovávacích příspěvků
ve výši čtvrtiny důchodu jest nepatrná
a nalézá krytí v různých detailech
výpočtu základních čísel.
Tak na př. jsou základní čísla
pro invalidní důchod počítána
bez ohledu na to, že vyplácení důchodu
děje se měsíčně, základní
čísla vdovského důchodu neberou v
úvahu (na rozdíl od pojistně-matematického
odůvodnění německého zákona)
ulehčení vyplývající z odbytného
pro vdovy při opětném provdání.
Pohřebné pro osoby, zemřevší
v aktivní službě vede vzhledem k 60 měsíční
čekací době ve vyšších stářích
k premiím,3)
které
neporušují matematické stavby zákona,
totiž při starobním důchodu 100 po 40
letech k obnosům.
tedy nejvýše jedno procento premie.
5. § 15. návrhu přiznává nárok
na vychovávací příspěvky též
dětem, které pocházejí z manželství
uzavřeného pojištěncem teprve za požívání
invalidního nebo starobního důchodu. Toto
zlepšení nepřináší žádného
nového zatížení, ježto při
výpočtu základních čísel
pojištění vychovávacích příspěvků
v roce 1914 byl pro invalidy předpokládán
stejný stav rodinný jako pro aktivní zřízence.
Bylo tedy ustanovení, že manželství uzavřené
ve stavu invalidity nezakládá nároku na vychovávací
příspěvky, při výpočtu
premií zanedbáno a zrušením tohoto ustanovení
disponuje se jen koeficientem bezpečnosti, jenž z
ustanovení resultoval.
6. Pojistně-matematické důvody a námitky
pro a proti ustanovení, že pojištěnci
mohou si zachovati po vystoupení získané
nároky placením uznávacího poplatku,
zůstávají tytéž jako v technické
zprávě k novele i při snížení
lhůty na 60 měsíců.
V celku možno prohlásiti, že výhody poskytnuté
pojištěncům v návrhu a ocenění
shora neohrožují pojistně - matematické
stavby a mohou býti kryty z premií nezvýšených,
zvláště vezme-li se ohled na uvolnění
značných částí premií
změnou ustanovení o základním obnosu
ve vyšších třídách a na
příznivé smíšení stavu
pojištěnců podle pohlaví v posledních
letech.
Nové hodnoty pojistné a návody pro počítání
premiových reserv, potřebné při sestavování
matematických bilancí a převodech mezi nositeli
pojištění následkem těchto změn,
budou uvedeny v nových stanovách Všeobecného
pensijního ústavu. Ku krytí potřeby
jednou pro vždy za uplynulou příspěvkovou
dobu při prvé bilanci ústavu bude po vyčerpání
případných přebytků možno
intensivněji než dříve býti použito
reservy pro vystoupivší členy také s
ohledem na blížící se dokonání
12leté lhůty § 27. u pojištěnců
vystoupivších v r. 1909.
Návrh přináší v § 23 a zavedení
léčebné péče preventivní,
která prováděna systematicky chce poskytování
invalidních důchodů učiniti opatřením,
jež nastupuje, když všechna opatření
jiná selhala. Má-li léčebná
péče domoci se úspěchů, musí
býti prováděna systematicky a ve velikém
slohu a musí tedy býti pohotově pro ni značné
peněžní prostředky. Změna ustanovení
o počítání základního
obnosu ve vyšších třídách
než VI. je jedním pramenem, který může
pro daný účel poskytnouti dosti vydatné
prostředky. Předpokládáme-li (pro
naprostou nemožnost jiných lepších hypotes),
že rozdělení podle stáří
pojištěnců mužských a ženských
ve třídách VII.-XIII. bude totéž
jako u pojištěnců Všeobecného pensijního
ústavu třídy VI.,1) [Mimo
to účiněn předpoklad, že pojištěnci
ve skupině stáří 18-20 let vstoupili
v průměrném stáří 19let,
pojištěnci staří 21-25 ve stáří
22, pojištěnci skupiny 26-30 let ve stáří
25 let. skupiny 31-35 ve stáří 27 let. skupiny
36-40 let ve stáří 28 let, skupiny 41-45
let ve stáří 33 let. 46-50 ve stáří
38 let do pojištění.] obdržíme
pro léčebnou péči obnos K 455.000
ročně pro muže a K 23.000 pro ženy, dohromady
K 478.000.- ročně.
Další rozhojnění těchto prostředků
by bylo možno v prvé řadě z přebytků
přirázek na správní výdaje
vzhledem k příznivému seskupení pojištěnců
podle pohlaví a příznivějšímu
sestavení přístupu podle stáří,
než předpokládáno. Při tom všem
je nezbytno, aby faktické správní výdaje
klesly ze své nynější výše,
což možno vzhledem ke koncentraci a zjednodušení
pojištění, dále vzhledem k zvýšení
premií s jistotou očekávati.
K rozhojnění přebytků a tím
sesílení prostředků na léčebnou
péci přispěje konečně léčebná
péče časem sama nepřímo: snížením
zatížení z předčasných
invalidních důchodů.
Po stránce formální se navrhuje, aby tento
návrh přikázán byl k projednání
sociálně politickému výboru s uložením
8denní lhůty.

